Mappa del sito
Indice degli aggiornamenti  17/11/25
Metti formule tra i preferiti
Contattaci
Segnalaci ad un amico

Formule e argomenti di matematica, fisica e scienze
Albert Einstein: ... la nostra conoscenza, se paragonata alla realta' e' primitiva e infantile. Eppure e' il bene piu' grande che possediamo.
... all our science, measured against reality, is primitive and childlike-and yet it is the most precious thing we have.



Ci sono esercizi relativi a questa scheda ! Versione stampabile della scheda visualizzata sotto

Seguici in Facebook    Seguici in Pinterest

Matematica : Geometria analitica del piano

La retta

Ogni equazione di primo grado in due variabili (x, y), in un piano cartesiano, rappresenta una retta.

Teorema:
Fissato un sistema di coordinate cartesiane, ad ogni retta del piano si puo associare una equazione (*) di primo grado in due variabili (x, y).

Teorema (reciproco del precedente):
Fissato un sistema di coordinate cartesiane, ad ogni equazione di primo grado in due variabili (x, y) si puo' associare una retta.

(*) Non e' inteso come UNA SOLA EQUAZIONE, le equazione sono infinite e sono ottenute: variando k, con k ≠ 0 e appartenente ad R in kax + kby + kc = 0 (equazione generale o canonica della retta).


Legenda:
(FI)=Equazione delle retta in forma implicita, (FE)=Equazione delle retta in forma esplicita, (CA)=Coefficiente angolare


_______ EQUAZIONE E COEFFICIENTE ANGOLARE


Geometria analitica del piano, equazione della retta e coefficiente angolare


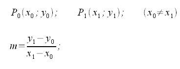
___ Coefficiente angolare (noti 2 punti della retta (P1, P2))

Geometria analitica del piano, coefficiente angolare noti 2 punti



_______ EQUAZIONI RETTE PARTICOLARI


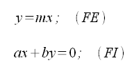
___ Passante per l'origine degli assi

Geometria analitica del piano, equazione della retta passante per l'origine degli assi

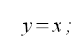
___ Bisettrice del I e III quadrante

Geometria analitica del piano, equazione della retta bisettrice del primo e terzo quadrante

___ Bisettrice del II e IV quadrante

Geometria analitica del piano, equazione della retta bisettrice del secondo e quarto quadrante

___ Parallela all'asse x (1), all'asse y (2)

Geometria analitica del piano, equazione della retta parallela all'asse x, all'asse y

___ Asse x (1), asse y (2)

Geometria analitica del piano, equazione dell'asse x, dell'asse y


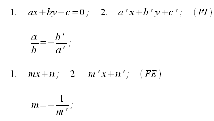
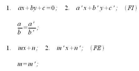
_______ CONDIZIONI DI PARALLELISMO


Geometria analitica del piano, condizioni di parallelismo


_______ CONDIZIONI DI PERPENDICOLARITA'


Geometria analitica del piano, condizioni di perpendicolarita'


_______ EQUAZIONI FASCIO DI RETTE


___ Proprio (k=costante; m=variabile)

Geometria analitica del piano, equazione fascio di rette proprio

___ Improprio (k=variabile; m=costante)
Geometria analitica del piano, equazione fascio di rette improprio




_______ EQUAZIONI RETTE PASSANTI


___ Per un punto: P(x0; y0)

Geometria analitica del piano, equazione retta passante per un punto

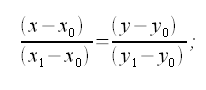
___ Per due punti: P0(x0; y0), P1(x1; y1)

Geometria analitica del piano, equazione retta passante per 2 punti


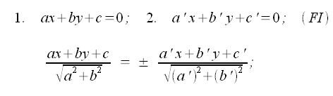
_______ DISTANZA DI UN PUNTO (P) DA UNA RETTA (r)


Geometria analitica del piano, distanza di un punto da una retta

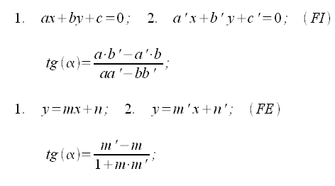
_______ ANGOLO (α) FORMATO DA DUE RETTE


Geometria analitica del piano, angolo formato da due rette non parallele


_______ BISETTRICI DEGLI ANGOLI FORMATI DA DUE RETTE


Geometria analitica del piano, bisettrici degli angoli formati da due rette non parallele

Made by Formule Development Team





Argomenti correlati e altri percorsi:


Asse di un segmento

Geometria analitica del piano, Asse di un segmento

(locale-Formule)

Retta parallela ad una retta data passante per un punto
Geometria analitica del piano → Metodi di risoluz., retta parallela ad una retta data passante per un punto
(locale-Formule)

 

Retta perpendicolare ad una retta data passante per un punto
Geometria analitica del piano → Metodi di risoluz., retta perpendicolare ad una retta data passante per un punto
(locale-Formule)

Equazione segmentaria della retta

Geometria analitica del piano, equazione segmentaria della retta

(locale-Formule)

 

Punti di intersezione della retta con gli assi
Geometria analitica del piano, punti di intersezione della retta con gli assi
(locale-Formule)

 


- Esercizi, metodologie e svolgimento:


Retta passante per due punti

Equazione della retta passante per due punti dati

Bisettrici degli angoli formati da due rette
Equazioni delle bisettrici degli angoli formati da due rette

 

Coordinate del punto di intersezione di due rette (metodo di sostituzione)
Coordinate del punto di intersezione di due rette (Sistema-Metodo di sostituzione)

Coordinate del punto di intersezione di due rette (metodo di Cramer)
Coordinate del punto di intersezione di due rette (Sistema-Metodo di Cramer)

 

Coefficiente angolare della retta

Coefficiente angolare della retta

Coefficiente angolare della retta perpendicolare ad una retta data
Coefficiente angolare della retta perpendicolare ad una retta data

 


  Metti la scheda negli appunti    Click per visualizzare il blocco appunti Visualizza appunti    Click x svuotare blocco appunti Azzera appunti



UTILITY
FormuLe-MATEMATICALC

TROVA FORMULE

UTILITY
FormuLe-FISICALC


TROVA FORMULE

UTILITY
FormuLe-STATISTICALC

UTILITY
Formule-MATFINCALC

UTILITY
Formule-Software download

ARGOMENTI
Matematica

Frattali di Mandelbrot
Benoit Mandelbrot e la Geometria Frattale. Introduzione e immagini.

Statistica e giochi

Lotto e superEnalotto
Una sintetica comparazione statistica e finanziaria dei due giochi.

Ultimo aggiornamento - Last update:  17/11/2025
Privacy and cookies
© www.gobnf.com 2008-2026 - Tutto il materiale contenuto nel sito PUO' essere liberamente usato per scopi personali (studio, creazione di relazioni e tesine etc). Non e' consentito qualsiasi altro tipo di utilizzo o riproduzione. - The entire content of this site may be freely used ONLY for personal purposes (study, creation of reports etc.). It is not allowed any other use or reproduction.