Torna a Formule Esercizi, metodologia e svolgimento

Galleria frattali/Fractals gallery by Formule BNF

Versione stampabile della scheda visualizzata sotto

Matematica: Geometria analitica del piano

Coefficiente angolare della perpendicolare ad una retta


 ♦ Testo dell'esercizio ♦ 

Calcolare il coefficiente angolare delle rette perpendicolari alle seguenti rette:

Esercizi, equazioni delle rette


 ♦ Metodo risolutivo ♦ 

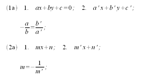
Ricordiamo:

l'equazione generale o canonica della retta in forma implicita e relativo coefficiente angolare (m):

Esercizi, equazione generale della retta in forma implicita

l'equazione generale o canonica della retta in forma esplicita e relativo coefficiente angolare (m):
Esercizi, equazione generale della retta in forma esplicita

le condizioni di perpendicolarita' di due rette con equazione canonica in forma implicita (1a) ed esplicita (2a):

Esercizi, condizioni di perpendicolarita di due rette


 ♦ Soluzione ♦ 
 
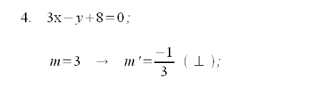
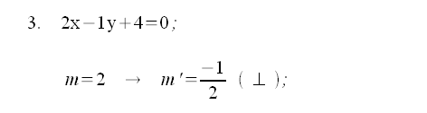
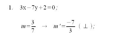
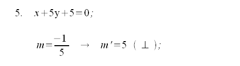
♦   I coefficienti angolari (m) per le equazioni da 1 a 5 (equazioni in forma implicita) sono calcolati in riferimento alla (1) e cioe': i coefficienti angolari delle rette 1-5 sono uguali al primo coefficiente (coefficiente della x) cambiato di segno fratto il secondo coefficiente (coefficiente della y).

♦   I coefficienti angolari (m') delle rette perpendicolari alle rette date, sono calcolati in riferimento alle condizioni di perpendicolarita' (1a):

Esercizi, coefficiente angolare della perpendicolare, retta in forma implicita

Esercizi, coefficiente angolare della perpendicolare, retta in forma implicita

Esercizi, coefficiente angolare della perpendicolare, retta in forma implicita

Esercizi, coefficiente angolare della perpendicolare, retta in forma implicita

Esercizi, coefficiente angolare della perpendicolare, retta in forma implicita



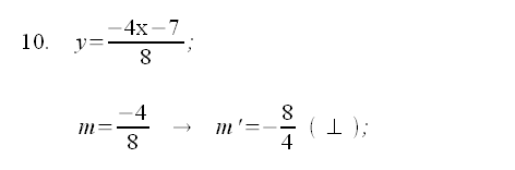
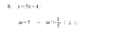
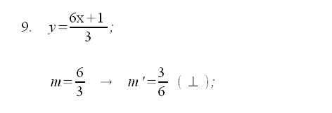
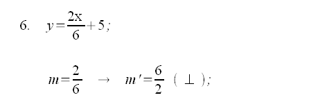
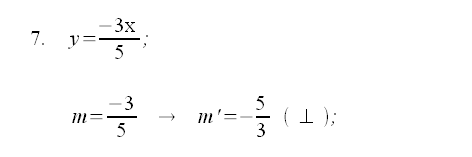
♦   I coefficienti angolari (m) per le equazioni da 6 a 10 (equazioni in forma esplicita) sono calcolati in riferimento alla (2) e cioe': i coefficienti angolari delle rette da 6-10 sono uguali al primo coefficiente (coefficiente della x).

♦   I coefficienti angolari (m') delle rette perpendicolari alle rette date, sono calcolati in riferimento alle condizioni di perpendicolarita (2a):

Esercizi, coefficiente angolare della perpendicolare, retta in forma esplicita

Esercizi, coefficiente angolare della perpendicolare, retta in forma esplicita

Esercizi, coefficiente angolare della perpendicolare, retta in forma esplicita

Esercizi, coefficiente angolare della perpendicolare, retta in forma esplicita

Esercizi, coefficiente angolare della perpendicolare, retta in forma esplicita

Made by Formule Development Team





  Metti la scheda negli appunti    Click per visualizzare il blocco appunti Visualizza appunti    Click x svuotare blocco appunti Azzera appunti



Seguici in Facebook     Seguici in Pinterest  


Argomenti correlati e altri percorsi:


La retta

Geometria analitica del piano, la retta


(locale-Formule)

Retta parallela ad una retta data passante per un punto
Geometria analitica del piano, metodi di risoluzione, retta parallela ad una retta data passante per un punto
(locale-Formule)

 

Retta perpendicolare ad una retta data passante per un punto
Geometria analitica del piano, metodi di risoluzione, retta perpendicolare ad una retta data passante per un punto
(locale-Formule)

 


UTILITY
FormuLe-MATEMATICALC


  Numeri primi

  Scomposizione fattori primi

  Convert.basi numeriche

  Min.comune mult. e m.c.d.

  Mass.comune div. (M.C.D.)

TROVA FORMULE


  Geometria solida

  Geometria del piano


UTILITY
FormuLe-FISICALC


TROVA FORMULE


  Forze Moto Energia

  Caduta dei gravi

  Piano inclinato


UTILITY
FormuLe-STATISTICALC


  Permutazioni

  Disposizioni

  Combinazioni


UTILITY
FormuLe-MATFINCALC


  Calc.rata e Ammort.mutuo






© www.gobnf.com 2008-2026 - Tutto il materiale contenuto nel sito PUO' essere liberamente usato per scopi personali (studio, creazione di relazioni e tesine etc). Non e' consentito qualsiasi altro tipo di utilizzo o riproduzione. Last Upd.31/08/2025
Privacy e cookie