Mappa del sito
Indice degli aggiornamenti  17/11/25
Metti formule tra i preferiti
Contattaci
Segnalaci ad un amico

Formule e argomenti di matematica, fisica e scienze
Albert Einstein: ... la nostra conoscenza, se paragonata alla realta' e' primitiva e infantile. Eppure e' il bene piu' grande che possediamo.
... all our science, measured against reality, is primitive and childlike-and yet it is the most precious thing we have.



Ci sono esercizi relativi a questa scheda ! Versione stampabile della scheda visualizzata sotto

Seguici in Facebook    Seguici in Pinterest

Matematica: Geometria analitica del piano

Retta perpendicolare ad una retta data passante per un punto

Equazione della retta passante per il punto P(x0; y0) perpendicolare ad una retta data di equazione: ax+by+c (forma implicita) oppure y=mx + n (forma esplicita).


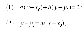
1. Ricaviamo l'equazione del fascio di rette passanti per il punto P(x0; y0), sostituendo le coordinate x0 e y0 di P alla equazione della retta passante per un punto (l'equazione (1) e' in forma implicita, l'equazione (2) e' in forma esplicita):

Geometria analitica del piano, Metodi di risoluzione dei problemi, equazione della retta passante per un punto

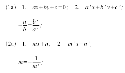
2. Due rette perpendicolari HANNO COEFFICIENTI ANGOLARI FRA LORO RECIPROCI E DI SEGNO OPPOSTO quindi all'equazione del fascio di rette, passanti per P, trovata nel punto 1. sostituiamo:

- per l'equazione (1)a = al coefficiente della y della retta data, b = al coefficiente della x, cambiato di segno, della retta data

- per l'equazione (2)m = al reciproco del coefficiente angolare della retta data cambiato di segno (1).




(1) Ricordiamo:

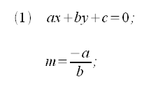
- Il coefficiente angolare (m), dell'equazione generale o canonica della retta in forma implicita, e' uguale al coefficiente della x cambiato di segno fratto il coefficiente della y:

Geometria analitica del piano, Metodi di risoluzione dei problemi, equazione generale della retta in forma implicita

- Il coefficiente angolare (m), dell'equazione generale o canonica della retta in forma esplicita, e' uguale al coefficiente della x:

Geometria analitica del piano, Metodi di risoluzione dei problemi, equazione generale della retta in forma esplicita

- I coefficienti angolari, fra loro reciproci e di segno opposto, affinche' due rette (1. e 2.) siano perpendicolari (condizione di perpendicolarita' tra due rette):

(equazioni delle rette in forma implicita (1a) e in forma esplicita (2a):

Geometria analitica del piano, Metodi di risoluzione dei problemi, equazione generale della retta in forma esplicita

Made by Formule Development Team





Argomenti correlati e altri percorsi:


Retta

Geometria analitica del piano, retta


(locale-Formule)

Retta parallela ad una retta data passante per un punto
Geometria analitica del piano → Metodi di risoluz., retta parallela ad una retta data passante per un punto
(locale-Formule)

 


- Esercizi, metodologie e svolgimento:


Coefficiente angolare della retta

Coefficiente angolare della retta

Coefficiente angolare della retta perpendicolare ad una retta data
Coefficiente angolare della retta perpendicolare ad una retta data

 


  Metti la scheda negli appunti    Click per visualizzare il blocco appunti Visualizza appunti    Click x svuotare blocco appunti Azzera appunti



UTILITY
FormuLe-MATEMATICALC

TROVA FORMULE

UTILITY
FormuLe-FISICALC


TROVA FORMULE

UTILITY
FormuLe-STATISTICALC

UTILITY
Formule-MATFINCALC

UTILITY
Formule-Software download

ARGOMENTI
Matematica

Frattali di Mandelbrot
Benoit Mandelbrot e la Geometria Frattale. Introduzione e immagini.

Statistica e giochi

Lotto e superEnalotto
Una sintetica comparazione statistica e finanziaria dei due giochi.

Ultimo aggiornamento - Last update:  17/11/2025
Privacy and cookies
© www.gobnf.com 2008-2026 - Tutto il materiale contenuto nel sito PUO' essere liberamente usato per scopi personali (studio, creazione di relazioni e tesine etc). Non e' consentito qualsiasi altro tipo di utilizzo o riproduzione. - The entire content of this site may be freely used ONLY for personal purposes (study, creation of reports etc.). It is not allowed any other use or reproduction.