Matematica: Geometria analitica del piano
Retta passante per due punti
♦ Testo dell'esercizio ♦
Trovare l'equazione della retta passante per i punti:
♦ Metodo risolutivo ♦
Ricordiamo l'equazione generale o canonica della retta (1) (equazione che ritroveremo ad esercizio svolto con i valori dei coefficienti a, b e del termine noto c):
Iniziamo considerando la formula (2) che ci permette di trovare la retta passante per due punti:
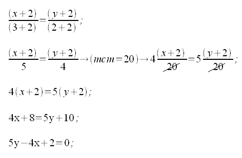
♦ Sostituiamo le coordinate dei punti A e B alla (2) e svolgiamo i calcoli:
♦ Soluzione ♦

Scomposizione in fattori primi

Minimo comune multiplo e m.c.d.
: IMMAGINE/APPLET : VERIFICA LE FORMULE : Esercizi, retta passante per due punti
EV0010002_V40|604|400|IMA=Geometria analitica del piano, esercizi, retta passante per due punti
