Matematica: Geometria analitica del piano
Coordinate del punto di intersezione di due rette (metodo di Cramer)
♦ Testo dell'esercizio ♦
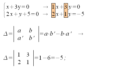
Trovare le coordinate del punto di intersezione P delle rette:
♦ Abbiamo 2 equazioni e 2 incognite (x, y). Ricaviamo i valori di x e y mettendo a sistema le due equazioni.
♦ Risolviamo il sistema con il metodo di Cramer
Ricaviamo il determinante dei coefficienti (Δ) ottenuto con i coefficienti delle incognite x e y:
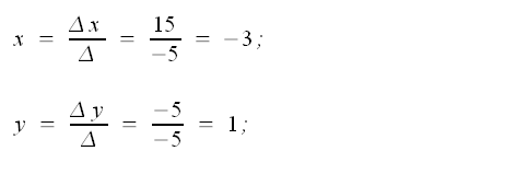
Ricaviamo il determinante relativo alla x (Δ x) ottenuto con il coefficiente dell'incognita y e il termine noto:
Ricaviamo il determinante relativo alla y (Δ y) ottenuto con il coefficiente dell'incognita x e il termine noto :
Ricaviamo la x e la y (x = Δx / Δ, y = Δy / Δ):
♦ Soluzione ♦
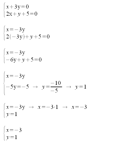
♦ Risolviamo lo stesso sistema con il metodo di sostituzione.
♦ Soluzione ♦
: IMMAGINE/APPLET : VERIFICA LE FORMULE : Esercizi, Coordinate del punto di intersezione di due rette
EV0010005_V40|604|400|IMA=Geometria analitica del piano, esercizi, coordinate del punto di intersezione di due rette
