Matematica: Geometria analitica del piano
Coordinate del punto di intersezione di due rette (metodo di sostituzione)
♦ Testo dell'esercizio ♦
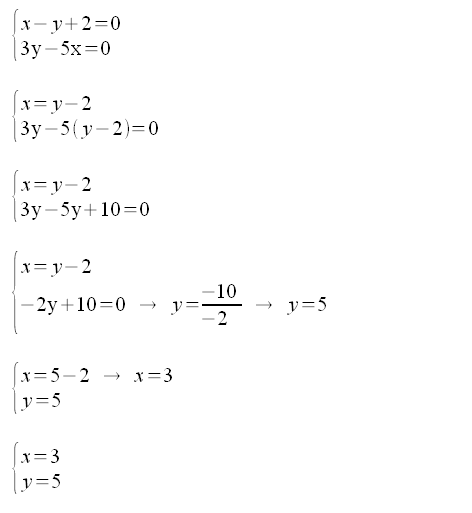
Trovare le coordinate del punto di intersezione P delle rette:
♦ Abbiamo 2 equazioni e 2 incognite (x, y). Ricaviamo i valori di x e y mettendo a sistema le due equazioni.
♦ Risolviamo il sistema con il metodo di sostituzione.
♦ Soluzione ♦
: IMMAGINE/APPLET : VERIFICA LE FORMULE : Esercizi, Coordinate del punto di intersezione di due rette
EV0010004_V40|604|400|IMA=Geometria analitica del piano, esercizi, coordinate del punto di intersezione di due rette
