Matematica : Geometria analitica del piano
La parabola
Definizione:
La parabola e' il luogo geometrico (L) dei punti del piano, equidistanti da un punto fisso (F=Fuoco) e da una retta fissa (Direttrice).
_______ 1. EQUAZIONE CANONICA (O NORMALE) DELLA PARABOLA
Equazione della parabola: y = ax² . Il Vertice e' nell'origine degli assi: Coordinate del Vertice V(0,0)
. L'asse y e' l'Asse di simmetria della parabola
. Il Fuoco e' sull'asse y: Coordinate del Fuoco F(0,1/4a)
. La Direttrice ha equazione: y = -1/4a
. La Concavita': a > 0 → la concavita' e' volta verso l'alto, a < 0 la concavita' e' volta verso il basso
Equazione della parabola: x = ay² . Il Vertice e' nell'origine degli assi: Coordinate del Vertice V(0,0)
. L'asse x e' l'Asse di simmetria della parabola
. Il Fuoco e' sull'asse x: Coordinate del Fuoco F(1/4a,0)
. La Direttrice ha equazione: x = -1/4a
. La Concavita': a > 0 → la concavita' e' volta verso destra, a < 0 la concavita' e' volta verso sinistra
Legenda:
Parabola y = ax² F = Fuoco, V = Vertice, L = Luogo geometrico, H = Piede della perpendicolare dal punto L alla Direttrice, d = Direttrice, Asse y = Asse di simmetria
Parabola x = ay² F1 = Fuoco, V1 = Vertice, L1 = Luogo geometrico, H1 = Piede della perpendicolare dal punto L1 alla Direttrice, d1 = Direttrice, Asse x = Asse di simmetria
: IMMAGINE/APPLET : VERIFICA LE FORMULE : La parabola
(ad applet avviato) Punti Mobili → a, L, L1
0010009b_V32|580|450|IMA=Geometria analitica del piano, la parabola
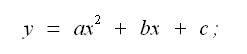
_______ 2. PARABOLA DI EQUAZIONE y = ax² + bx + c
Legenda:
F = Fuoco, V = Vertice, L = Luogo geometrico, H = Piede della perpendicolare dal punto L alla Direttrice, LF = Distanza di L da F, LH = Distanza di L da H, Asse = Asse di simmetria
: IMMAGINE/APPLET : VERIFICA LE FORMULE : La parabola di equazione y = ax² + bx + c
(ad applet avviato) Punti Mobili → F, D, L
0010009_V32|585|400|IMA=Geometria analitica del piano, la parabola
_______ 2. EQUAZIONE GENERALE DELLA PARABOLA
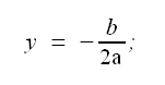
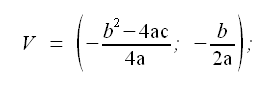
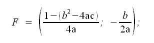
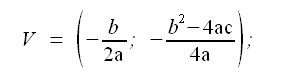
_______ 2. COORDINATE DEL VERTICE
_______ 2. EQUAZIONE DELL'ASSE DI SIMMETRIA (retta parallela all'asse delle y)
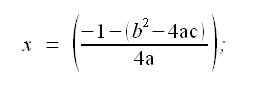
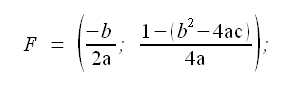
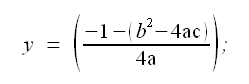
_______ 2. COORDINATE DEL FUOCO
_______ 2. EQUAZIONE DELLA DIRETTRICE (retta parallela all'asse delle x)
_______ 2. CONCAVITA'
Se il coefficiente del termine di secondo grado e' maggiore di 0 (a > 0) → la concavita' e' volta verso l'alto
Se il coefficiente del termine di secondo grado e' minore di 0 (a < 0) → la concavita' e' volta verso il basso
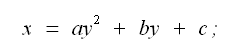
_______ 3. PARABOLA DI EQUAZIONE x = ay² + by + c
Legenda:
F = Fuoco, V = Vertice, L = Luogo geometrico, H = Piede della perpendicolare dal punto L alla Direttrice, LF = Distanza di L da F, LH = Distanza di L da H, Asse = Asse di simmetria
: IMMAGINE/APPLET : VERIFICA LE FORMULE : La parabola di equazione x = ay² + by + c
(ad applet avviato) Punti Mobili → F, D, L
0010009a_V32|585|510|IMA=Geometria analitica del piano, la parabola
_______ 3. EQUAZIONE GENERALE DELLA PARABOLA
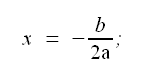
_______ 3. COORDINATE DEL VERTICE
_______ 3. EQUAZIONE DELL'ASSE DI SIMMETRIA (retta parallela all'asse delle x)
_______ 3. COORDINATE DEL FUOCO
_______ 3. EQUAZIONE DELLA DIRETTRICE (retta parallela all'asse delle y)
_______ 3. CONCAVITA'
Se il coefficiente del termine di secondo grado e' maggiore di 0 (a > 0) → la concavita' e' volta verso destra
Se il coefficiente del termine di secondo grado e' minore di 0 (a < 0) → la concavita' e' volta verso sinistra
