Torna a Formule Esercizi, metodologia e svolgimento

Galleria frattali/Fractals gallery by Formule BNF

Versione stampabile della scheda visualizzata sotto

Matematica: Geometria analitica del piano

Soluzioni equazioni numeriche di secondo grado complete


 ♦ Testo dell'esercizio ♦ 

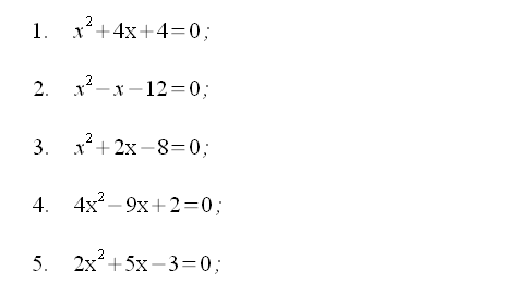
Risolvere(1) le seguenti equazioni numeriche di secondo grado complete:

Esercizi, equazioni di secondo grado, equazioni parabole

(1) Trovare le soluzioni oppure le radici oppure gli zeri dell'equazione di secondo grado.


 ♦ Metodo risolutivo ♦ 

Ricordiamo:

l'equazione generale di secondo grado (in forma tipica o forma canonica):

Esercizi, equazione generale di secondo grado

la formula generale risolutiva:

Esercizi, formula generale risolutiva

a memoria ...
x = al secondo coefficiente cambiato di segno (-b) piu'-meno (±) radice quadrata del secondo coefficiente alla seconda (b2) meno 4 volte il primo coefficiente (a) per il terzo (c) tutto fratto 2 volte il primo coefficiente (2a).



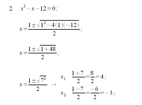
 ♦ Soluzione ♦ 
 
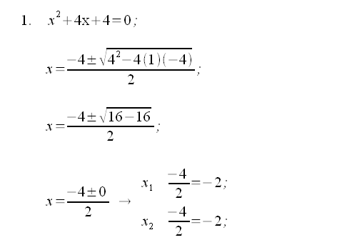
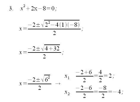
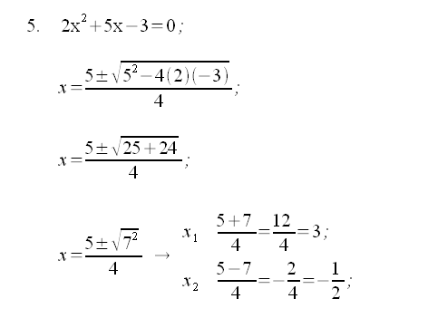
Esercizi, soluzioni equazione di secondo grado

Esercizi, soluzioni equazione di secondo grado

Esercizi, soluzioni equazione di secondo grado

Esercizi, soluzioni equazione di secondo grado

Esercizi, soluzioni equazione di secondo grado

Made by Formule Development Team





  Metti la scheda negli appunti    Click per visualizzare il blocco appunti Visualizza appunti    Click x svuotare blocco appunti Azzera appunti



Seguici in Facebook     Seguici in Pinterest  


Argomenti correlati e altri percorsi:


Equazioni di secondo grado (ad una incognita)

Equazioni e disequazioni, equazioni di secondo grado (ad una incognita)

(locale-Formule)

Proprieta' delle soluzioni di un'equazione di secondo grado (ad una incognita)
Equazioni e disequazioni, proprieta' delle soluzioni di un'equazione di secondo grado (ad una incognita)
(locale-Formule)

 

Regola di Cartesio

Equazioni e disequazioni, regola di Cartesio
(locale-Formule)

Scomposizione in fattori di un trinomio di secondo grado
Elementi di algebra, scomposizione in fattori di un trinomio di secondo grado
(locale-Formule)

 


UTILITY
FormuLe-MATEMATICALC


  Numeri primi

  Scomposizione fattori primi

  Convert.basi numeriche

  Min.comune mult. e m.c.d.

  Mass.comune div. (M.C.D.)

TROVA FORMULE


  Geometria solida

  Geometria del piano


UTILITY
FormuLe-FISICALC


TROVA FORMULE


  Forze Moto Energia

  Caduta dei gravi

  Piano inclinato


UTILITY
FormuLe-STATISTICALC


  Permutazioni

  Disposizioni

  Combinazioni


UTILITY
FormuLe-MATFINCALC


  Calc.rata e Ammort.mutuo






© www.gobnf.com 2008-2026 - Tutto il materiale contenuto nel sito PUO' essere liberamente usato per scopi personali (studio, creazione di relazioni e tesine etc). Non e' consentito qualsiasi altro tipo di utilizzo o riproduzione. Last Upd.31/08/2025
Privacy e cookie