Mappa del sito
Indice degli aggiornamenti  17/11/25
Metti formule tra i preferiti
Contattaci
Segnalaci ad un amico

Formule e argomenti di matematica, fisica e scienze
Albert Einstein: ... la nostra conoscenza, se paragonata alla realta' e' primitiva e infantile. Eppure e' il bene piu' grande che possediamo.
... all our science, measured against reality, is primitive and childlike-and yet it is the most precious thing we have.



Ci sono esercizi relativi a questa scheda ! Versione stampabile della scheda visualizzata sotto

Seguici in Facebook    Seguici in Pinterest

Matematica : Equazioni e disequazioni

Equazioni di secondo grado (ad una incognita)

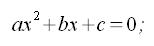
Si chiama equazione di secondo grado un polinomio razionale intero di secondo grado, ad una sola incognita, uguagliato a zero.

Forma tipica (o forma canonica o equazione generale della parabola) con a ≠ 0:

  Equazioni e disegnazioni (1 incognita), equazione di secondo grado


a, b, c si chiamano coefficienti dell'equazione e piu' precisamente:

- a → primo coefficiente o coefficiente del termine di secondo grado;

- b → secondo coefficiente o coefficiente del termine di primo grado;

- c → terzo coefficiente o coefficiente del termine di grado nullo detto termine noto.


Equazione di secondo grado COMPLETA

Un equazione di secondo grado si dice COMPLETA se b e c sono ≠ 0 (a ovviamente ≠ 0 come presupposto fondamentale).


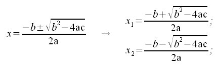
METODI E FORMULE GENERALI RISOLUTIVE

_____ .1. Formula generale

  Equazioni e disegnazioni (1 incognita), formula generale

a memoria ...
x e' uguale: al secondo coefficiente cambiato di segno (-b) piu'-meno (±) radice quadrata del secondo coefficiente alla seconda (b2) meno 4 volte il primo coefficiente (a) per il terzo (c) tutto fratto 2 volte il primo coefficiente (2a).



_____ .2. Prima formula ridotta
Se il secondo coefficiente (b) e' pari tale che esiste un numero intero k = b/2:

  Equazioni e disegnazioni (1 incognita), prima formula ridotta

a memoria ...
x e' uguale: al secondo coefficiente diviso 2 cambiato di segno (-b/2) piu'-meno (±) radice quadrata del secondo coefficiente diviso 2 alla seconda ((b/2)2) meno il primo coefficiente (a) per il terzo (c) tutto fratto il primo coefficiente (a)
.


_____ .3. Seconda formula ridotta
Se il secondo coefficiente (b) e' pari tale che esiste un numero intero k = b/2 e il primo coefficiente (a) = 1:

  Equazioni e disegnazioni (1 incognita), seconda formula ridotta

a memoria ...
x e' uguale: al secondo coefficiente diviso 2 cambiato di segno (-b/2) piu'-meno (±) radice quadrata del secondo coefficiente diviso 2 alla seconda ((b/2)2) meno il terzo coefficiente(c).



Una equazione COMPLETA puo' ammettere:
1.  Se il
radicando(*) e' positivo: Due soluzioni (o radici) reali e distinte;
2.  Se il
radicando(*) e' nullo: Due soluzioni (o radici) reali coincidenti;
3.  Se il
radicando(*) e' negativo: Nessuna soluzione (o radice) nell'insieme dei numeri reali o soluzioni (o radici) complesse (o immaginarie).


radicando(*): Il radicando e' chiamato DISCRIMINANTE e si indica con la lettera greca Δ (delta)



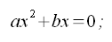
Equazione di secondo grado SPURIA o IMPURA

Un equazione di secondo grado si chiama equazione incompleta binomia di primo tipo (piu' comunemente detta equazione SPURIA o IMPURA) se il terzo coefficiente o termine noto c = 0:

  Equazioni e disegnazioni (1 incognita), equazione spuria o impura

METODI E FORMULE GENERALI RISOLUTIVE
Possiamo sempre utilizzare le formule risolutive di un'equazione di secondo grado COMPLETA ma, solitamente, in un equazione spuria o impura si procede cosi':

- Trasformiamo l'equazione mettento in evidenza l'incognita x:

  x(ax + b) = 0;

- Per mezzo della legge di annullamento di un prodotto, possiamo scrivere:

  x1 = 0;

  ax + b = 0  →  x2 = -b/a;

Una equazione SPURIA o IMPURA ammette sempre 2 soluzioni (o radici) reali e distinte (x1, x2) di cui una nulla (x1).



Equazione di secondo grado PURA

Un equazione di secondo grado si chiama equazione incompleta binomia di secondo tipo (piu' comunemente detta equazione PURA) se il secondo coefficiente o termine noto b = 0:

  Equazioni e disegnazioni (1 incognita), equazione pura

METODI E FORMULE GENERALI RISOLUTIVE
Possiamo sempre utilizzare le formule risolutive di un'equazione di secondo grado COMPLETA ma, solitamente, in un equazione pura procede cosi':

- Trasformiamo l'equazione lasciando al primo membro l'incognita x e spostando il resto al secondo menbro:

  x2 = -c/a;  →  x1 = +Radice(-c/a), x2 = -Radice(-c/a);

Una equazione PURA puo' ammettere:
1.  Se il radicando e' positivo: Due soluzioni (o radici) reali e opposte;
2.  Se il radicando e' negativo: Nessuna soluzione (o radice) nell'insieme dei numeri reali o soluzioni (o radici) complesse (o immaginarie).




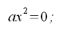
Equazione di secondo grado INCOMPLETA

Un equazione di secondo grado si chiama equazione incompleta monomia se i coefficenti b e c sono = 0:

  Equazioni e disegnazioni (1 incognita), equazione incompleta

METODI E FORMULE GENERALI RISOLUTIVE
Possiamo sempre utilizzare le formule risolutive di un'equazione di secondo grado COMPLETA ma, solitamente, in un equazione incompleta si procede cosi':

- Per mezzo della legge di annullamento di un prodotto, possiamo scrivere:

  ax2 = 0;  →  x1 = 0, x2 = 0;

Una equazione INCOMPLETA ammette sempre 2 soluzioni (o radici) reali coincidenti e nulle.



Made by Formule Development Team





Argomenti correlati e altri percorsi:


Proprieta' delle soluzioni di un'equazione di secondo grado (ad una incognita)
Equazioni e disequazioni, proprieta' delle soluzioni di un'equazione di secondo grado (ad una incognita)
(locale-Formule)

Scomposizione in fattori di un trinomio di secondo grado
Elementi di algebra, scomposizione in fattori di un trinomio di secondo grado

(locale-Formule)

 

Regola di Cartesio

Equazioni e disequazioni, regola di Cartesio

(locale-Formule)

Disequazioni di secondo grado (grafico della parabola)
Equazioni e disequazioni, disequazioni di secondo grado (grafico della parabola y=ax2+bx+c)
(locale-Formule)

 


- Esercizi, metodologie e svolgimento:


Soluzioni equazioni numeriche di secondo grado complete

Radici equazioni numeriche di secondo grado complete

 


  Metti la scheda negli appunti    Click per visualizzare il blocco appunti Visualizza appunti    Click x svuotare blocco appunti Azzera appunti



UTILITY
FormuLe-MATEMATICALC

TROVA FORMULE

UTILITY
FormuLe-FISICALC


TROVA FORMULE

UTILITY
FormuLe-STATISTICALC

UTILITY
Formule-MATFINCALC

UTILITY
Formule-Software download

ARGOMENTI
Matematica

Frattali di Mandelbrot
Benoit Mandelbrot e la Geometria Frattale. Introduzione e immagini.

Statistica e giochi

Lotto e superEnalotto
Una sintetica comparazione statistica e finanziaria dei due giochi.

Ultimo aggiornamento - Last update:  17/11/2025
Privacy and cookies
© www.gobnf.com 2008-2026 - Tutto il materiale contenuto nel sito PUO' essere liberamente usato per scopi personali (studio, creazione di relazioni e tesine etc). Non e' consentito qualsiasi altro tipo di utilizzo o riproduzione. - The entire content of this site may be freely used ONLY for personal purposes (study, creation of reports etc.). It is not allowed any other use or reproduction.