Mappa del sito
Indice degli aggiornamenti  17/11/25
Metti formule tra i preferiti
Contattaci
Segnalaci ad un amico

Formule e argomenti di matematica, fisica e scienze
Albert Einstein: ... la nostra conoscenza, se paragonata alla realta' e' primitiva e infantile. Eppure e' il bene piu' grande che possediamo.
... all our science, measured against reality, is primitive and childlike-and yet it is the most precious thing we have.



Ci sono esercizi relativi a questa scheda ! Versione stampabile della scheda visualizzata sotto

Seguici in Facebook    Seguici in Pinterest

Matematica : Equazioni e disequazioni

Proprieta' delle soluzioni di un'equazione di secondo grado (ad una incognita)

Ricordando la forma canonica di una equazione di secondo grado


  Equazioni e disegnazioni (1 incognita), forma canonica equazione


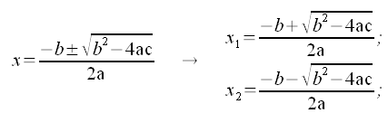
e in virtu' della formula generale risolutiva


  Equazioni e disegnazioni (1 incognita), formula generale


possiamo affermare che:


1. La somma delle soluzioni (x1 + x2) di una equazione di secondo grado e' uguale al rapporto tra il secondo coefficiente cambiato di segno (-b) e il primo (a).


Dimostrazione:

  Equazioni e disegnazioni (1 incognita), somma delle soluzioni



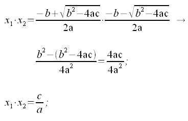
2. Il prodotto delle soluzioni (x1 * x2) di una equazione di secondo grado e' uguale al rapporto tra il terzo coefficiente (c) e il primo (a).


Dimostrazione:

  Equazioni e disegnazioni (1 incognita), prodotto delle soluzioni



Made by Formule Development Team





Argomenti correlati e altri percorsi:


Equazioni di secondo grado (ad una incognita)
Equazioni e disequazioni, equazioni di secondo grado (ad una incognita)
(locale-Formule)

Regola di Cartesio

Equazioni e disequazioni, regola di Catesio
(locale-Formule)

 


- Esercizi, metodologie e svolgimento:


Soluzioni equazioni numeriche di secondo grado complete

Radici equazioni numeriche di secondo grado complete

 


  Metti la scheda negli appunti    Click per visualizzare il blocco appunti Visualizza appunti    Click x svuotare blocco appunti Azzera appunti



UTILITY
FormuLe-MATEMATICALC

TROVA FORMULE

UTILITY
FormuLe-FISICALC


TROVA FORMULE

UTILITY
FormuLe-STATISTICALC

UTILITY
Formule-MATFINCALC

UTILITY
Formule-Software download

ARGOMENTI
Matematica

Frattali di Mandelbrot
Benoit Mandelbrot e la Geometria Frattale. Introduzione e immagini.

Statistica e giochi

Lotto e superEnalotto
Una sintetica comparazione statistica e finanziaria dei due giochi.

Ultimo aggiornamento - Last update:  17/11/2025
Privacy and cookies
© www.gobnf.com 2008-2026 - Tutto il materiale contenuto nel sito PUO' essere liberamente usato per scopi personali (studio, creazione di relazioni e tesine etc). Non e' consentito qualsiasi altro tipo di utilizzo o riproduzione. - The entire content of this site may be freely used ONLY for personal purposes (study, creation of reports etc.). It is not allowed any other use or reproduction.