Mappa del sito
Indice degli aggiornamenti  17/11/25
Metti formule tra i preferiti
Contattaci
Segnalaci ad un amico

Formule e argomenti di matematica, fisica e scienze
Albert Einstein: ... la nostra conoscenza, se paragonata alla realta' e' primitiva e infantile. Eppure e' il bene piu' grande che possediamo.
... all our science, measured against reality, is primitive and childlike-and yet it is the most precious thing we have.



Versione stampabile della scheda visualizzata sotto

Seguici in Facebook    Seguici in Pinterest

Matematica : Geometria analitica del piano → Le curve

Parabola



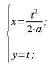
___ EQUAZIONE CARTESIANA PARAMETRICA PARABOLA
___ Il centro nell'origine degli assi C(0, 0)
___ (a ≠ 0, t in R)

Geometria analitica del piano, curve, parabola, equazione parametrica, equazione parametrica cartesiana, coordinate cartesiane, centro nell'origine



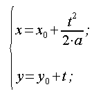
___ EQUAZIONE CARTESIANA PARAMETRICA PARABOLA
___ Il centro in C(x0, y0)
___ (a ≠ 0, t in R)

Geometria analitica del piano, curve, parabola, equazione parametrica, equazione parametrica cartesiana, coordinate cartesiane, centro in C


: IMMAGINE/APPLET : VERIFICA LE FORMULE : Le curve, Parabola
  (ad applet avviato) Punti Mobili → a, α, C

0010468_V32|580|400|IMA=Geometria analitica del piano, le curve, parabola


Made by Formule Development Team





Argomenti correlati e altri percorsi:


Parabola

Geometria analitica del piano, parabola
(locale-Formule)

Parabola come inviluppo di rette
Geometria analitica del piano, parabola come inviluppo di rette
(locale-Formule)

 

Parabola (noti il fuoco e la direttrice)
Costruzioni geometriche, parabola (noti il fuoco e la direttrice)
(locale-Formule)

 




  Metti la scheda negli appunti    Click per visualizzare il blocco appunti Visualizza appunti    Click x svuotare blocco appunti Azzera appunti



UTILITY
FormuLe-MATEMATICALC

TROVA FORMULE

UTILITY
FormuLe-FISICALC


TROVA FORMULE

UTILITY
FormuLe-STATISTICALC

UTILITY
Formule-MATFINCALC

UTILITY
Formule-Software download

ARGOMENTI
Matematica

Frattali di Mandelbrot
Benoit Mandelbrot e la Geometria Frattale. Introduzione e immagini.

Statistica e giochi

Lotto e superEnalotto
Una sintetica comparazione statistica e finanziaria dei due giochi.

Ultimo aggiornamento - Last update:  17/11/2025
Privacy and cookies
© www.gobnf.com 2008-2026 - Tutto il materiale contenuto nel sito PUO' essere liberamente usato per scopi personali (studio, creazione di relazioni e tesine etc). Non e' consentito qualsiasi altro tipo di utilizzo o riproduzione. - The entire content of this site may be freely used ONLY for personal purposes (study, creation of reports etc.). It is not allowed any other use or reproduction.