Mappa del sito
Indice degli aggiornamenti  17/11/25
Metti formule tra i preferiti
Contattaci
Segnalaci ad un amico

Formule e argomenti di matematica, fisica e scienze
Albert Einstein: ... la nostra conoscenza, se paragonata alla realta' e' primitiva e infantile. Eppure e' il bene piu' grande che possediamo.
... all our science, measured against reality, is primitive and childlike-and yet it is the most precious thing we have.



Versione stampabile della scheda visualizzata sotto

Seguici in Facebook    Seguici in Pinterest

Matematica : Geometria analitica del piano

Le coniche e l'eccentricita'


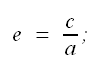
L'eccentricita' e' il rapporto costante fra la distanza di un punto qualsiasi P di una conica dal fuoco F e la distanza dello stesso punto P dalla direttrice (d)

Geometria analitica del piano, eccentricita' delle coniche, significato geometrico


   con H = alla proiezione ortogonale del punto P sulla direttrice



Il valore e varia in funzione del tipo di conica (o il valore e determina il tipo di conica):

 -  In una CIRCONFERENZA  →  e = 0;

 -  In una ELLISSE  →  0 < e < 1;

 -  In una PARABOLA  →  e = 1;

 -  In una IPERBOLE  →  e > 1.



♦ L'ECCENTRICITA' E L'ELLISSE

L'eccentricita' dell'ellisse come rapporto costante fra la semidistanza focale c e il semiasse maggiore a;

Geometria analitica del piano, eccentricita' dell'ellisse, semidistanza focale e semiasse maggiore

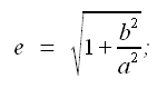
L'eccentricita' dell'ellisse funzione dei semiassi (maggiore a e minore b)

Geometria analitica del piano, eccentricita' dell'ellisse, semiassi

: IMMAGINE/APPLET : VERIFICA LE FORMULE : Le coniche e l'eccentricita', Ellisse
  (ad applet avviato) Punti Mobili → e, P

0010536a_V32|580|520|IMA=Geometria analitica del piano, coniche ed eccentricita, ellisse



♦ L'ECCENTRICITA' E L'IPERBOLE

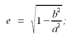
L'eccentricita' dell'iperbole come rapporto costante fra la semidistanza focale c e il semiasse trasverso (o semiasse focale) a;

Geometria analitica del piano, eccentricita' dell'iperbole, semidistanza focale e semiasse trasverso

L'eccentricita' dell'iperbole funzione dei semiassi (trasverso a e non trasverso b)

Geometria analitica del piano, eccentricita' dell'iperbole, semiassi

: IMMAGINE/APPLET : VERIFICA LE FORMULE : Le coniche e l'eccentricita', Iperbole
  (ad applet avviato) Punti Mobili → e, P1, P2

0010536_V32|580|520|IMA=Geometria analitica del piano, coniche ed eccentricita, iperbole


Made by Formule Development Team





Argomenti correlati e altri percorsi:


Circonferenza
Geometria analitica del piano, circonferenza
(locale-Formule)

Parabola
Geometria analitica del piano, parabola

(locale-Formule)

 

Ellisse
Geometria analitica del piano, ellisse
(locale-Formule)

Iperbole
Geometria analitica del piano, iperbole
(locale-Formule)

 




  Metti la scheda negli appunti    Click per visualizzare il blocco appunti Visualizza appunti    Click x svuotare blocco appunti Azzera appunti



UTILITY
FormuLe-MATEMATICALC

TROVA FORMULE

UTILITY
FormuLe-FISICALC


TROVA FORMULE

UTILITY
FormuLe-STATISTICALC

UTILITY
Formule-MATFINCALC

UTILITY
Formule-Software download

ARGOMENTI
Matematica

Frattali di Mandelbrot
Benoit Mandelbrot e la Geometria Frattale. Introduzione e immagini.

Statistica e giochi

Lotto e superEnalotto
Una sintetica comparazione statistica e finanziaria dei due giochi.

Ultimo aggiornamento - Last update:  17/11/2025
Privacy and cookies
© www.gobnf.com 2008-2026 - Tutto il materiale contenuto nel sito PUO' essere liberamente usato per scopi personali (studio, creazione di relazioni e tesine etc). Non e' consentito qualsiasi altro tipo di utilizzo o riproduzione. - The entire content of this site may be freely used ONLY for personal purposes (study, creation of reports etc.). It is not allowed any other use or reproduction.