Matematica: Geometria del piano
Cerchio di Brocard
In un triangolo ABC il segmento, individuato dal circocentro O (centro del cerchio circoscritto al triangolo ABC) e il punto di Lemoine K, e' il diametro di un cerchio chiamato cerchio di Brocard o cerchio dei sette punti. Il diametro OK e' chiamato diametro di Brocard e il suo punto medio CB e' il centro cerchio di Brocard.
___ CERCHIO DI BROCARD, CERCHIO DEI SETTE PUNTI
Legenda:
ABC = Triangolo ABC, O = Circocentro del triangolo, K = Punto di Lemoine, CB = Centro del cerchio di Brocard, OK = Diametro di Brocard, a, b, c = Lati del triangolo, s? = Simmediane del triangolo, o? =Assi dei lati a, b, c, p? = Parallele di Lemoine, ω = ω' = Angolo di Brocard, Ω, Ω' = Punti di Brocard, P(?) = Punti di intesezione: dei segmenti individuati dai vertici del triangolo e i punti di Brocard, delle parallele di Lemoine con il cerchio di Brocard e degli assi dei lati a, b, c con il cerchio di Brocard.
SETTE PUNTI NOTEVOLI DEL CERCHIO DI BROCARD
1°
O = Circocentro del triangolo ABC (Punto di intersezione degli assi dei lati a, b, c)
2°
K = Punto di Lemoine (Punto di intersezione delle simmediane del triangolo)
3°
Ω = Primo punto di Brocard (Primo punto di intersezione dei segmenti che formano con i lati a, b, c l'angolo di Brocard ω)
4°
Ω' = Secondo punto di Brocard (Secondo punto di intersezione dei segmenti che formano con i lati a, b, c l'angolo di Brocard ω')
5°-7°
P(a, b, c) = Punti di intersezione: dei 6 segmenti passanti per i vertici A, B, C del triangolo e punti di Brocard Ω Ω' (segmenti che formano con i lati a, b, c l'angolo di Brocard (ω e ω')); delle 3 parallele di Lemoine con il cerchio di Brocard (parallele ai lati a, b, c passanti per il punto di Lemoine K); degli assi dei lati con il cerchio di Brocard (rette perpendicolari ai lati a, b, c passanti per i punti medi di essi).
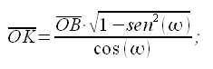
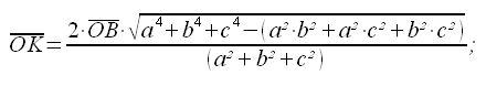
.1. DIAMETRO DEL CERCHIO DI BROCARD (O CERCHIO DEI SETTE PUNTI)
noti: i lati a, b, c del triangolo e il raggio OB della circonferenza circoscritta al triangolo
: IMMAGINE/APPLET : VERIFICA LE FORMULE : .1. Cerchio di Brocard, Diametro del cerchio dei sette punti
(ad applet avviato) Punti Mobili → A, B, C
0010615_V32|580|500|IMA=Geometria del piano, cerchio di Brocard, diametro del cerchio dei sette punti
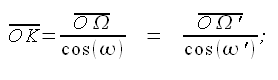
.2. DIAMETRO DEL CERCHIO DI BROCARD (O CERCHIO DEI SETTE PUNTI)
noti: l'angolo di Brocard ω, ω' e il raggio OB della circonferenza circoscritta al triangolo o ppure l'angolo di Brocard ω, ω' e la distanza del circoncetro O dai punti di Brocard (OΩ, OΩ'
Proprieta': I punti di Brocard, primo punto di Brocard Ω e secondo punto di Brocard Ω', sono equidistanti dal circocentro O → OΩ = OΩ' e dal punto di Lemoine K → KΩ = KΩ'
: IMMAGINE/APPLET : VERIFICA LE FORMULE : .2. Cerchio di Brocard, Diametro del cerchio dei sette punti
(ad applet avviato) Punti Mobili → A, B, C
0010615a_V32|580|500|IMA=Geometria del piano, cerchio di Brocard, diametro del cerchio dei sette punti
