Mappa del sito
Indice degli aggiornamenti  17/11/25
Metti formule tra i preferiti
Contattaci
Segnalaci ad un amico

Formule e argomenti di matematica, fisica e scienze
Albert Einstein: ... la nostra conoscenza, se paragonata alla realta' e' primitiva e infantile. Eppure e' il bene piu' grande che possediamo.
... all our science, measured against reality, is primitive and childlike-and yet it is the most precious thing we have.



Versione stampabile della scheda visualizzata sotto

Seguici in Facebook    Seguici in Pinterest

Matematica: Geometria del piano

Secondo triangolo di Brocard


In un triangolo ABC i punti (A1, B1 C1), individuati dall'intersezione delle simmediane del triangolo ABC con il cerchio di Brocard (o cerchio dei sette punti), sono vertici di un triangolo chiamato secondo triangolo di Brocard.

___ SECONDO TRIANGOLO DI BROCARD

Geometria del piano, cerchio di Brocard, cerchio dei sette punti, secondo triangolo di brocard, triangolo


Legenda:
ABC = Triangolo ABC, A1B1C1 = Secondo triangolo di Brocard, O = Circocentro del triangolo ABC, K = Punto di Lemoine, a, b, c = Lati del triangolo ABC, a1, b1, c1 = Lati del secondo triangolo di Brocard, Ω, Ω' = Punti di Brocard.


___ SUPERFICIE DEL SECONDO TRIANGOLO DI BROCARD (S1)
noti: i lati a, b, c e la superficie S(ABC) del triangolo ABC.

Geometria del piano, secondo triangolo di Brocard, formula superficie secondo triangolo di Brocard, area del triangolo




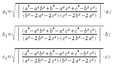
___ LATI DEL SECONDO TRIANGOLO DI BROCARD (a1, b1, c1)
noti: i lati a, b, c triangolo ABC.

Geometria del piano, secondo triangolo di Brocard, formula lati secondo triangolo di Brocard, lati del triangolo



: IMMAGINE/APPLET : VERIFICA LE FORMULE : Secondo triangolo di Brocard, Superficie e lati
  (ad applet avviato) Punti Mobili → A, B, C

0010616_V32|580|550|IMA=Geometria del piano, secondo triangolo di Brocard, superficie e lati


Made by Formule Development Team





Argomenti correlati e altri percorsi:


Punto di Lemoine
Geometria del piano, punto di Lemoine
(locale-Formule)

Cerchio di Brocard
Geometria del piano, cerchio di Brocard
(locale-Formule)

 

Simmediane di un triangolo
Geometria del piano, simmediane di un triangolo
(locale-Formule)

Primo triangolo di Brocard
Geometria del piano, primo triangolo di Brocard
(locale-Formule)

 




  Metti la scheda negli appunti    Click per visualizzare il blocco appunti Visualizza appunti    Click x svuotare blocco appunti Azzera appunti



UTILITY
FormuLe-MATEMATICALC

TROVA FORMULE

UTILITY
FormuLe-FISICALC


TROVA FORMULE

UTILITY
FormuLe-STATISTICALC

UTILITY
Formule-MATFINCALC

UTILITY
Formule-Software download

ARGOMENTI
Matematica

Frattali di Mandelbrot
Benoit Mandelbrot e la Geometria Frattale. Introduzione e immagini.

Statistica e giochi

Lotto e superEnalotto
Una sintetica comparazione statistica e finanziaria dei due giochi.

Ultimo aggiornamento - Last update:  17/11/2025
Privacy and cookies
© www.gobnf.com 2008-2026 - Tutto il materiale contenuto nel sito PUO' essere liberamente usato per scopi personali (studio, creazione di relazioni e tesine etc). Non e' consentito qualsiasi altro tipo di utilizzo o riproduzione. - The entire content of this site may be freely used ONLY for personal purposes (study, creation of reports etc.). It is not allowed any other use or reproduction.