Mappa del sito
Indice degli aggiornamenti  17/11/25
Metti formule tra i preferiti
Contattaci
Segnalaci ad un amico

Formule e argomenti di matematica, fisica e scienze
Albert Einstein: ... la nostra conoscenza, se paragonata alla realta' e' primitiva e infantile. Eppure e' il bene piu' grande che possediamo.
... all our science, measured against reality, is primitive and childlike-and yet it is the most precious thing we have.



Versione stampabile della scheda visualizzata sotto

Seguici in Facebook    Seguici in Pinterest

Matematica: Geometria del piano

Primo triangolo di Brocard


In un triangolo ABC i punti (A1, B1, C1), individuati dall'intersezione: delle parallele di Lemoine con il cerchio di Brocard (o cerchio dei sette punti) o dei segmenti individuati dai vertici del triangolo ABC con i punti di Brocard o degli assi dei lati a, b, c con il cerchio di Brocard, sono vertici di un triangolo chiamato primo triangolo di Brocard. I punti A1, B1 e C1 sono 3 dei 7 punti notevoli del cerchio di Brocard.

___ PRIMO TRIANGOLO DI BROCARD

Geometria del piano, cerchio di Brocard, cerchio dei sette punti, primo triangolo di Brocard, triangolo


Legenda:
ABC = Triangolo ABC, A1B1C1 = Primo triangolo di Brocard, O = Circocentro del triangolo ABC, K = Punto di Lemoine, p(?) = Parallele di Lemoine, a, b, c = Lati del triangolo ABC, a1, b1, c1 = Lati del secondo triangolo di Brocard, Ω, Ω' = Punti di Brocard.


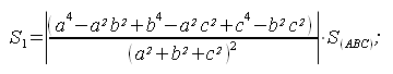
___ SUPERFICIE DEL PRIMO TRIANGOLO DI BROCARD (S1)
noti: i lati a, b, c e la superficie S(ABC) del triangolo ABC.

Geometria del piano, primo triangolo di Brocard, formula superficie primo triangolo di Brocard, area del triangolo




___ LATI DEL PRIMO TRIANGOLO DI BROCARD (a1, b1, c1)
noti: i lati a, b, c triangolo ABC.

Geometria del piano, primo triangolo di Brocard, formula lati primo triangolo di Brocard, lati del triangolo



: IMMAGINE/APPLET : VERIFICA LE FORMULE : Primo triangolo di Brocard, Superficie e lati
  (ad applet avviato) Punti Mobili → A, B, C

0010617_V32|585|450|IMA=Geometria del piano, primo triangolo di Brocard, superficie e lati


Made by Formule Development Team





Argomenti correlati e altri percorsi:


Punto di Lemoine
Geometria del piano, punto di Lemoine
(locale-Formule)

Cerchio di Brocard
Geometria del piano, cerchio di Brocard
(locale-Formule)

 

Secondo triangolo di Brocard
Geometria del piano, secondo triangolo di Brocard
(locale-Formule)

 




  Metti la scheda negli appunti    Click per visualizzare il blocco appunti Visualizza appunti    Click x svuotare blocco appunti Azzera appunti



UTILITY
FormuLe-MATEMATICALC

TROVA FORMULE

UTILITY
FormuLe-FISICALC


TROVA FORMULE

UTILITY
FormuLe-STATISTICALC

UTILITY
Formule-MATFINCALC

UTILITY
Formule-Software download

ARGOMENTI
Matematica

Frattali di Mandelbrot
Benoit Mandelbrot e la Geometria Frattale. Introduzione e immagini.

Statistica e giochi

Lotto e superEnalotto
Una sintetica comparazione statistica e finanziaria dei due giochi.

Ultimo aggiornamento - Last update:  17/11/2025
Privacy and cookies
© www.gobnf.com 2008-2026 - Tutto il materiale contenuto nel sito PUO' essere liberamente usato per scopi personali (studio, creazione di relazioni e tesine etc). Non e' consentito qualsiasi altro tipo di utilizzo o riproduzione. - The entire content of this site may be freely used ONLY for personal purposes (study, creation of reports etc.). It is not allowed any other use or reproduction.