Mappa del sito
Indice degli aggiornamenti  17/11/25
Metti formule tra i preferiti
Contattaci
Segnalaci ad un amico

Formule e argomenti di matematica, fisica e scienze
Albert Einstein: ... la nostra conoscenza, se paragonata alla realta' e' primitiva e infantile. Eppure e' il bene piu' grande che possediamo.
... all our science, measured against reality, is primitive and childlike-and yet it is the most precious thing we have.



Versione stampabile della scheda visualizzata sotto

Seguici in Facebook    Seguici in Pinterest

Matematica: Geometria del piano

Angolo e punti di Brocard


Geometria del piano, angolo di Brocard, primo punto di Brocard, secondo punto di Brocard



L'ANGOLO DI BROCARD

.1. In un triangolo ABC la somma delle cotangenti degli angoli α, β, γ, corrispondenti ai vertici del triangolo, e' uguale alla cotangente dell'angolo ω (ω'). L'angolo ω (ω') e' chiamato angolo di Brocard

Geometria del piano, angolo di Brocard, formula .1., cotangente dell'angolo di Brocard, formule



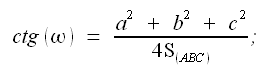
.2. In un triangolo ABC la somma dei quadrati dei lati a, b, c diviso 4 volte la superficie del triangolo S(ABC), e' uguale alla cotangente dell'angolo ω (ω'). L'angolo ω (ω') e' chiamato angolo di Brocard

Geometria del piano, angolo di Brocard, formula .2., cotangente dell'angolo di Brocard, formule




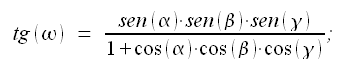
.3. tg(ω) - Tangente dell'angolo di Brocard

Geometria del piano, angolo di Brocard, formula .3., tangente dell'angolo di Brocard, formule



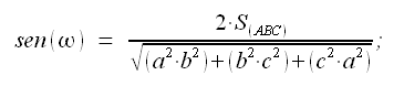
.4. sen(ω) - Seno dell'angolo di Brocard

Geometria del piano, angolo di Brocard, formula .4., seno dell'angolo di Brocard, formule




IL PRIMO E IL SECONDO PUNTO DI BROCARD

I punti di intersezione (2 punti), dei segmenti (6 segmenti) uscenti dai vertici del triangolo ABC (segmenti che formano con i lati a, b, c l'angolo di Brocard (ω e ω')), sono chiamati punti di Brocard (Ω = primo punto di Brocard, Ω' = secondo punto di Brocard).



: IMMAGINE/APPLET : VERIFICA LE FORMULE : .1. Angolo e punti di Brocard
  (ad applet avviato) Punti Mobili → A, B, C

0010610_V32|580|500|IMA=Geometria del piano, angolo e punti di Brocard




: IMMAGINE/APPLET : VERIFICA LE FORMULE : .2. Angolo e punti di Brocard
  (ad applet avviato) Punti Mobili → A, B, C

0010610a_V32|585|500|IMA=Geometria del piano, angolo e punti di Brocard


Made by Formule Development Team





Argomenti correlati e altri percorsi:


Cerchio di Brocard
Geometria del piano, cerchio di Brocard
(locale-Formule)

 




  Metti la scheda negli appunti    Click per visualizzare il blocco appunti Visualizza appunti    Click x svuotare blocco appunti Azzera appunti



UTILITY
FormuLe-MATEMATICALC

TROVA FORMULE

UTILITY
FormuLe-FISICALC


TROVA FORMULE

UTILITY
FormuLe-STATISTICALC

UTILITY
Formule-MATFINCALC

UTILITY
Formule-Software download

ARGOMENTI
Matematica

Frattali di Mandelbrot
Benoit Mandelbrot e la Geometria Frattale. Introduzione e immagini.

Statistica e giochi

Lotto e superEnalotto
Una sintetica comparazione statistica e finanziaria dei due giochi.

Ultimo aggiornamento - Last update:  17/11/2025
Privacy and cookies
© www.gobnf.com 2008-2026 - Tutto il materiale contenuto nel sito PUO' essere liberamente usato per scopi personali (studio, creazione di relazioni e tesine etc). Non e' consentito qualsiasi altro tipo di utilizzo o riproduzione. - The entire content of this site may be freely used ONLY for personal purposes (study, creation of reports etc.). It is not allowed any other use or reproduction.