Mappa del sito
Indice degli aggiornamenti  17/11/25
Metti formule tra i preferiti
Contattaci
Segnalaci ad un amico

Formule e argomenti di matematica, fisica e scienze
Albert Einstein: ... la nostra conoscenza, se paragonata alla realta' e' primitiva e infantile. Eppure e' il bene piu' grande che possediamo.
... all our science, measured against reality, is primitive and childlike-and yet it is the most precious thing we have.



Versione stampabile della scheda visualizzata sotto

Seguici in Facebook    Seguici in Pinterest

Matematica : Limiti

Forme indeterminata zero per infinito

Se il limite di un prodotto e' = a zero per infinito (forma indeterminata o forma di indecisione)

Limiti, forme indeterminate, forme di indecisione, forme indeterminate, infinito meno infinito, zero per infinito, zero su zero

cioe', quando:

Limiti, forme indeterminate, forme di indecisione, forme indeterminate, limite delle funzioni


allora, per determinare l'esistenza del limite e se esiste il suo valore, applichiamo la regola di De L'Hospital (o teorema di De L'Hospital) riconducendoci al calcolo del limite per le forme indeterminate infinito su infinito e zero su zero.

♦ Poniamo il prodotto f(x) · g(x) sotto forma di quoziente:


Limiti, forme indeterminate, forme di indecisione, forme indeterminate, da prodotto di funzioni a rapporto di funzioni


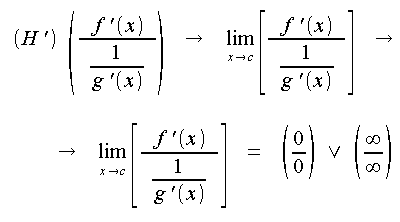
♦ Calcoliamo la derivata prima del numeratore e del denominatore (*) e passiamo al limite del rapporto delle derivate prime

Limiti, forme indeterminate, forme di indecisione, forme indeterminate, limite del rapporto delle derivate prime


se il calcolo del limite del rapporto delle derivate prime si presenta ancora in forma indeterminata allora:

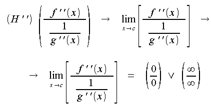
♦ calcoliamo la derivata seconda del numeratore e del denominatore (*) e passiamo al limite del rapporto delle derivate seconde

Limiti, forme indeterminate, forme di indecisione, forme indeterminate, limite del rapporto delle derivate secondi


se il calcolo del limite del rapporto delle derivate seconde si presenta ancora in forma indeterminata allora:

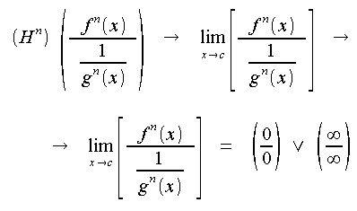
♦ calcoliamo la derivata terza, quarta ... n-esima del numeratore e del denominatore (*) e passiamo al limite del rapporto delle derivate terze, quarte ... n-esime

Limiti, forme indeterminate, forme di indecisione, forme indeterminate, limite del rapporto delle derivate n-esime




Dal teorema di De L'Hospital risulta che il limite cercato e' = al limite (se esiste) del rapporto delle derivate prime o seconde o terze ... o n-esime:

Limiti, forme indeterminate, forme di indecisione, forme indeterminate, teorema di De L'Hospital, calcolo del limite, regola di De L'Hospital



 (*)  Il calcolo della derivata del numeratore e il calcolo della derivata del denominatore, da non confondere con la derivata di un rapporto.



Made by Formule Development Team





Argomenti correlati e altri percorsi:


Teorema di De L'Hospital
Calcolo differenziale, teorema di De L'Hospital
(locale-Formule)

Limite di un prodotto
Limiti, limite di un prodotto
(locale-Formule)

 

Limite di un quoziente
Limiti, limite di un quoziente
(locale-Formule)

Forme indeterminate o di indecisione
Limiti, forme indeterminate o di indecisione
(locale-Formule)

 




  Metti la scheda negli appunti    Click per visualizzare il blocco appunti Visualizza appunti    Click x svuotare blocco appunti Azzera appunti



UTILITY
FormuLe-MATEMATICALC

TROVA FORMULE

UTILITY
FormuLe-FISICALC


TROVA FORMULE

UTILITY
FormuLe-STATISTICALC

UTILITY
Formule-MATFINCALC

UTILITY
Formule-Software download

ARGOMENTI
Matematica

Frattali di Mandelbrot
Benoit Mandelbrot e la Geometria Frattale. Introduzione e immagini.

Statistica e giochi

Lotto e superEnalotto
Una sintetica comparazione statistica e finanziaria dei due giochi.

Ultimo aggiornamento - Last update:  17/11/2025
Privacy and cookies
© www.gobnf.com 2008-2026 - Tutto il materiale contenuto nel sito PUO' essere liberamente usato per scopi personali (studio, creazione di relazioni e tesine etc). Non e' consentito qualsiasi altro tipo di utilizzo o riproduzione. - The entire content of this site may be freely used ONLY for personal purposes (study, creation of reports etc.). It is not allowed any other use or reproduction.