Mappa del sito
Indice degli aggiornamenti  17/11/25
Metti formule tra i preferiti
Contattaci
Segnalaci ad un amico

Formule e argomenti di matematica, fisica e scienze
Albert Einstein: ... la nostra conoscenza, se paragonata alla realta' e' primitiva e infantile. Eppure e' il bene piu' grande che possediamo.
... all our science, measured against reality, is primitive and childlike-and yet it is the most precious thing we have.



Versione stampabile della scheda visualizzata sotto

Seguici in Facebook    Seguici in Pinterest

Matematica : Limiti

Forme indeterminate o di indecisione


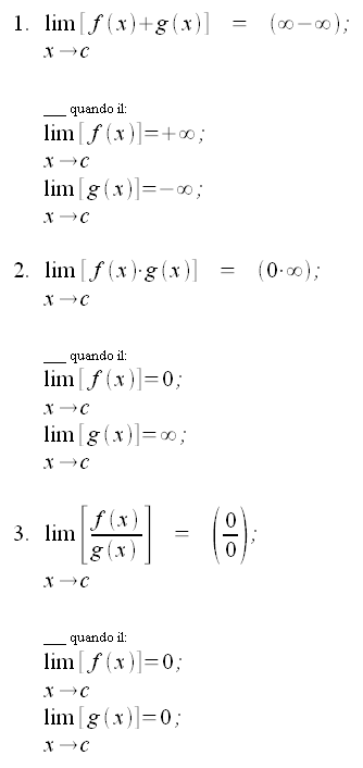
Limiti, forme indeterminate, forme di indecisione, forme indeterminate, infinito meno infinito, zero per infinito, zero su zero

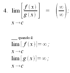
Limiti, forme indeterminate, forme di indecisione, forme indeterminate, infinito su infinito

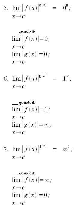
Limiti, forme indeterminate, forme di indecisione, forme indeterminate, zero elevato zero, uno elevato zero, infinito elevato zero

Made by Formule Development Team





Argomenti correlati e altri percorsi:


Forma indeterminata zero su zero e infinito su infinito
Limiti, forma indeterminata zero su zero e infinito su infinito
(locale-Formule)

Forma indeterminata zero per infinito
Limiti, forma indeterminata zero per infinito
(locale-Formule)

 

Forma indeterminata +infinito meno infinito
Limiti, forma indeterminata +infinito meno infinito
(locale-Formule)

 




  Metti la scheda negli appunti    Click per visualizzare il blocco appunti Visualizza appunti    Click x svuotare blocco appunti Azzera appunti



UTILITY
FormuLe-MATEMATICALC

TROVA FORMULE

UTILITY
FormuLe-FISICALC


TROVA FORMULE

UTILITY
FormuLe-STATISTICALC

UTILITY
Formule-MATFINCALC

UTILITY
Formule-Software download

ARGOMENTI
Matematica

Frattali di Mandelbrot
Benoit Mandelbrot e la Geometria Frattale. Introduzione e immagini.

Statistica e giochi

Lotto e superEnalotto
Una sintetica comparazione statistica e finanziaria dei due giochi.

Ultimo aggiornamento - Last update:  17/11/2025
Privacy and cookies
© www.gobnf.com 2008-2026 - Tutto il materiale contenuto nel sito PUO' essere liberamente usato per scopi personali (studio, creazione di relazioni e tesine etc). Non e' consentito qualsiasi altro tipo di utilizzo o riproduzione. - The entire content of this site may be freely used ONLY for personal purposes (study, creation of reports etc.). It is not allowed any other use or reproduction.