Mappa del sito
Indice degli aggiornamenti  17/11/25
Metti formule tra i preferiti
Contattaci
Segnalaci ad un amico

Formule e argomenti di matematica, fisica e scienze
Albert Einstein: ... la nostra conoscenza, se paragonata alla realta' e' primitiva e infantile. Eppure e' il bene piu' grande che possediamo.
... all our science, measured against reality, is primitive and childlike-and yet it is the most precious thing we have.



Versione stampabile della scheda visualizzata sotto

Seguici in Facebook    Seguici in Pinterest

Matematica : Calcolo differenziale

Teorema di De L'Hospital


Siano date due funzioni f(x) e g(x), tali che:

- sono funzioni continue;

- sono nulle nel punto x = c;

- sono derivabili in un intorno I(c) del punto c (escluso al piu' il punto c);

- la g'(x) ≠ 0 in I(c);


Allora:

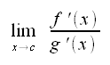
 se esiste (finito o infinito) il
    Calcolo differenziale, limite delle derivate delle funzioni

 esiste anche il
    Calcolo differenziale, limite delle funzioni

 e risulta che il

      Calcolo differenziale, Teorema di De L'Hospital

Made by Formule Development Team





Argomenti correlati e altri percorsi:


Forma indeterminata zero su zero e infinito su infinito
Limiti, forma indeterminata zero su zero e infinito su infinito
(locale-Formule)

Forma indeterminata zero per infinito
Limiti, forma indeterminata zero per infinito
(locale-Formule)

 

Forma indeterminata +infinito meno infinito
Limiti, forma indeterminata +infinito meno infinito
(locale-Formule)

 




  Metti la scheda negli appunti    Click per visualizzare il blocco appunti Visualizza appunti    Click x svuotare blocco appunti Azzera appunti



UTILITY
FormuLe-MATEMATICALC

TROVA FORMULE

UTILITY
FormuLe-FISICALC


TROVA FORMULE

UTILITY
FormuLe-STATISTICALC

UTILITY
Formule-MATFINCALC

UTILITY
Formule-Software download

ARGOMENTI
Matematica

Frattali di Mandelbrot
Benoit Mandelbrot e la Geometria Frattale. Introduzione e immagini.

Statistica e giochi

Lotto e superEnalotto
Una sintetica comparazione statistica e finanziaria dei due giochi.

Ultimo aggiornamento - Last update:  17/11/2025
Privacy and cookies
© www.gobnf.com 2008-2026 - Tutto il materiale contenuto nel sito PUO' essere liberamente usato per scopi personali (studio, creazione di relazioni e tesine etc). Non e' consentito qualsiasi altro tipo di utilizzo o riproduzione. - The entire content of this site may be freely used ONLY for personal purposes (study, creation of reports etc.). It is not allowed any other use or reproduction.