Mappa del sito
Indice degli aggiornamenti  17/11/25
Metti formule tra i preferiti
Contattaci
Segnalaci ad un amico

Formule e argomenti di matematica, fisica e scienze
Albert Einstein: ... la nostra conoscenza, se paragonata alla realta' e' primitiva e infantile. Eppure e' il bene piu' grande che possediamo.
... all our science, measured against reality, is primitive and childlike-and yet it is the most precious thing we have.



Versione stampabile della scheda visualizzata sotto

Seguici in Facebook    Seguici in Pinterest

Matematica : Approssimazione delle funzioni

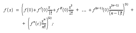
Formula di MAC-LAURIN

La formula di Mac-Laurin e' assimilabile alla formula di Taylor calcolata nell'intorno del punto x0=0.


____ APPROSSIMAZIONE DELLE FUNZIONI TRAMITE POLINOMI

Approssimazione delle funzioni, formula di Mac-Laurin, polinomio approssimante di Mac-Laurin, errore (o resto) di Lagrange


____ (1)  POLINOMIO DI MAC-LAURIN

Approssimazione delle funzioni, formula di Mac-Laurin, polinomio approssimante di Mac-Laurin

____ (2)  ERRORE O RESTO (LAGRANGE)

Approssimazione delle funzioni, formula di Mac-Laurin, errore (o resto) di Lagrange


: IMMAGINE/APPLET : VERIFICA LE FORMULE : Formula di MAC-LAURIN
  (ad applet avviato) Punti Mobili → c, I(x0)

0010003_V32|580|610|IMA=Approssimazione delle funzioni, Formula di MAC-LAURIN


Made by Formule Development Team





Argomenti correlati e altri percorsi:


Derivate fondamentali
Calcolo differenziale, derivate fondamentali
(locale-Formule)

Regole di derivazione
Calcolo differenziale, regole di derivazione
(locale-Formule)

 

Formula di Taylor
Approssimazione delle funzioni, formula di Taylor
(locale-Formule)

Serie di Taylor, Mac-Laurin
Serie di funzioni, Serie di Taylor, Mac-Laurin
(locale-Formule)

 

Metodo delle secanti (o delle corde)
Approssimazione delle funzioni, metodo delle secanti (o delle corde)
(locale-Formule)

Metodo delle tangenti (o di Newton)
Approssimazione delle funzioni, metodo delle tangenti (o di Newton)
(locale-Formule)

 

Metodo dell'attrattore (o del punto unito)
Approssimazione delle funzioni, metodo dell'attrattore (o del punto unito)
(locale-Formule)

 




  Metti la scheda negli appunti    Click per visualizzare il blocco appunti Visualizza appunti    Click x svuotare blocco appunti Azzera appunti



UTILITY
FormuLe-MATEMATICALC

TROVA FORMULE

UTILITY
FormuLe-FISICALC


TROVA FORMULE

UTILITY
FormuLe-STATISTICALC

UTILITY
Formule-MATFINCALC

UTILITY
Formule-Software download

ARGOMENTI
Matematica

Frattali di Mandelbrot
Benoit Mandelbrot e la Geometria Frattale. Introduzione e immagini.

Statistica e giochi

Lotto e superEnalotto
Una sintetica comparazione statistica e finanziaria dei due giochi.

Ultimo aggiornamento - Last update:  17/11/2025
Privacy and cookies
© www.gobnf.com 2008-2026 - Tutto il materiale contenuto nel sito PUO' essere liberamente usato per scopi personali (studio, creazione di relazioni e tesine etc). Non e' consentito qualsiasi altro tipo di utilizzo o riproduzione. - The entire content of this site may be freely used ONLY for personal purposes (study, creation of reports etc.). It is not allowed any other use or reproduction.