Mappa del sito
Indice degli aggiornamenti  17/11/25
Metti formule tra i preferiti
Contattaci
Segnalaci ad un amico

Formule e argomenti di matematica, fisica e scienze
Albert Einstein: ... la nostra conoscenza, se paragonata alla realta' e' primitiva e infantile. Eppure e' il bene piu' grande che possediamo.
... all our science, measured against reality, is primitive and childlike-and yet it is the most precious thing we have.



Versione stampabile della scheda visualizzata sotto

Seguici in Facebook    Seguici in Pinterest

Matematica : Serie di funzioni

Serie di Taylor, Mac-Laurin


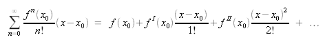
SERIE DI TAYLOR
Serie di Taylor della funzione f(x) con punto iniziale = x0.

Serie di funzioni, serie di Taylor


SERIE DI MAC-LAURIN
Serie di Mac-laurin della funzione f(x) con punto iniziale = 0.

Serie di funzioni, serie Mac-Laurin


Sviluppo in SERIE DI MAC-LAURIN della funzione ex

Serie di funzioni, sviluppo in serie di Mac-Laurin di e elevato x


con x = 1

Serie di funzioni, sviluppo in serie di Mac-Laurin di e


Sviluppo in SERIE DI MAC-LAURIN della funzione trigonometrica sen(x)

Serie di funzioni, sviluppo in serie di Mac-Laurin di seno di x


Sviluppo in SERIE DI MAC-LAURIN della funzione trigonometrica cos(x)

Serie di funzioni, sviluppo in serie di Mac-Laurin di coseno di x


Sviluppo in SERIE DI MAC-LAURIN della funzione iperbolica senh(x)

Serie di funzioni, sviluppo in serie di Mac-Laurin di seno iperbolico di x


Sviluppo in SERIE DI MAC-LAURIN della funzione iperbolica cosh(x)

Serie di funzioni, sviluppo in serie di Mac-Laurin di coseno iperbolico di x

Made by Formule Development Team





Argomenti correlati e altri percorsi:


Derivate fondamentali
Calcolo differenziale, derivate fondamentali
(locale-Formule)

Regole di derivazione
Calcolo differenziale, regole di derivazione
(locale-Formule)

 

Formula di Taylor
Approssimazione delle funzioni, formula di Taylor
(locale-Formule)

Formula di Mac-Laurin
Approssimazione delle funzioni, formula di Mac-Laurin
(locale-Formule)

 




  Metti la scheda negli appunti    Click per visualizzare il blocco appunti Visualizza appunti    Click x svuotare blocco appunti Azzera appunti



UTILITY
FormuLe-MATEMATICALC

TROVA FORMULE

UTILITY
FormuLe-FISICALC


TROVA FORMULE

UTILITY
FormuLe-STATISTICALC

UTILITY
Formule-MATFINCALC

UTILITY
Formule-Software download

ARGOMENTI
Matematica

Frattali di Mandelbrot
Benoit Mandelbrot e la Geometria Frattale. Introduzione e immagini.

Statistica e giochi

Lotto e superEnalotto
Una sintetica comparazione statistica e finanziaria dei due giochi.

Ultimo aggiornamento - Last update:  17/11/2025
Privacy and cookies
© www.gobnf.com 2008-2026 - Tutto il materiale contenuto nel sito PUO' essere liberamente usato per scopi personali (studio, creazione di relazioni e tesine etc). Non e' consentito qualsiasi altro tipo di utilizzo o riproduzione. - The entire content of this site may be freely used ONLY for personal purposes (study, creation of reports etc.). It is not allowed any other use or reproduction.