Mappa del sito
Indice degli aggiornamenti  17/11/25
Metti formule tra i preferiti
Contattaci
Segnalaci ad un amico

Formule e argomenti di matematica, fisica e scienze
Albert Einstein: ... la nostra conoscenza, se paragonata alla realta' e' primitiva e infantile. Eppure e' il bene piu' grande che possediamo.
... all our science, measured against reality, is primitive and childlike-and yet it is the most precious thing we have.



Versione stampabile della scheda visualizzata sotto

Seguici in Facebook    Seguici in Pinterest

Matematica : Approssimazione delle funzioni

Metodo delle tangenti (o di Newton)

Il metodo delle tangenti e' un metodo iterativo (o ricorsivo) usato per determinare lo zero reale di una funzione in un intervallo [a, b]. I metodi iterativi approssimano lo zero di una funzione sostituendo alla y = f(x) un'altra funzione.

Nel metodo delle tangenti, si sostituisce alla funzione y = f(x) la retta tangente alla curva nel punto A oppure B (punti estremi all'intervallo [a, b]) appartenenti al grafico della funzione. Ad ogni ripetizione (iterazione) del procedimento il risultato si approssima sempre di piu' allo zero cercato.

Come procedere:

1. Determinare l'esistenza degli zeri all'interno dell'intervallo [a, b];

2. Determinare l'estremo (estremo di Fourier) da cui inizia l'iterazione;

3. Sostituire alla funzione y = f(x) la retta tangente alla curva nel punto di ascissa x0=a oppure x0=b (punti estremi all'intervallo [a, b]) appartenenti al grafico della funzione:

Equazione della retta tangente alla curva per un estremo dell'intervallo




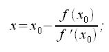
4. Determinare il punto di intersezione, della retta tangente alla curva per il punto A oppure B, con l'asse delle x:

Metodo delle tangenti (o di Newton), Punto di intersezione

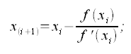
5. Iterare il procedimento:

Metodo delle tangenti (o di Newton), Formula iterativa

: IMMAGINE/APPLET : VERIFICA LE FORMULE : Metodo delle tangenti (o di Newton)
  (ad applet avviato) Punti Mobili → A, B, niterazioni

0010142_V40|590|610|IMA=Approssimazione delle funzioni, Metodo delle tangenti (o di Newton)


Made by Formule Development Team





Argomenti correlati e altri percorsi:


Metodo delle secanti (o delle corde)

Approssimazione delle funzioni, metodo delle secanti (o delle corde)
(locale-Formule)

Metodo dell'attrattore (o del punto unito)
Approssimazione delle funzioni, metodo dell'attrattore (o del punto unito)
(locale-Formule)

 

Formula di TAYLOR
Approssimazione delle funzioni, formula di TAYLOR
(locale-Formule)

Formula di MAC-LAURIN
Approssimazione delle funzioni, formula di MAC-LAURIN
(locale-Formule)

 




  Metti la scheda negli appunti    Click per visualizzare il blocco appunti Visualizza appunti    Click x svuotare blocco appunti Azzera appunti



UTILITY
FormuLe-MATEMATICALC

TROVA FORMULE

UTILITY
FormuLe-FISICALC


TROVA FORMULE

UTILITY
FormuLe-STATISTICALC

UTILITY
Formule-MATFINCALC

UTILITY
Formule-Software download

ARGOMENTI
Matematica

Frattali di Mandelbrot
Benoit Mandelbrot e la Geometria Frattale. Introduzione e immagini.

Statistica e giochi

Lotto e superEnalotto
Una sintetica comparazione statistica e finanziaria dei due giochi.

Ultimo aggiornamento - Last update:  17/11/2025
Privacy and cookies
© www.gobnf.com 2008-2026 - Tutto il materiale contenuto nel sito PUO' essere liberamente usato per scopi personali (studio, creazione di relazioni e tesine etc). Non e' consentito qualsiasi altro tipo di utilizzo o riproduzione. - The entire content of this site may be freely used ONLY for personal purposes (study, creation of reports etc.). It is not allowed any other use or reproduction.