Mappa del sito
Indice degli aggiornamenti  17/11/25
Metti formule tra i preferiti
Contattaci
Segnalaci ad un amico

Formule e argomenti di matematica, fisica e scienze
Albert Einstein: ... la nostra conoscenza, se paragonata alla realta' e' primitiva e infantile. Eppure e' il bene piu' grande che possediamo.
... all our science, measured against reality, is primitive and childlike-and yet it is the most precious thing we have.



Versione stampabile della scheda visualizzata sotto

Seguici in Facebook    Seguici in Pinterest

Matematica : Geometria analitica del piano → Metodi di risoluzione dei problemi

Tangenti ad una circonferenza per un punto esterno

Determinare le equazioni delle rette tangenti alla circonferenza c di equazione x2 + y2 + ax + by + c e passanti per il punto P(x0, y0) esterno alla circonferenza.

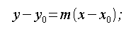
1. Scriviamo l'equazione del fascio di rette con centro nel punto P:

Geometria del piano, equazione del fascio di rette per un punto



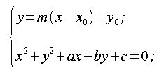
2. Abbiamo 2 equazioni: l'equazione del fascio di rette r(x0, y0) e della circonferenza c:

Geometria del piano, equazioni della retta e della circonferenza

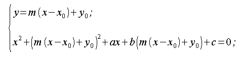
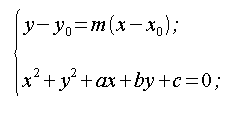
3. Mettiamo a sistema le equazioni r(x0, y0) e c (che di seguito chiameremo equazione 1 ed equazione 2):

Geometria del piano, sistema equazioni del fascio di rette e circonferenza

4. Cominciamo a risolvere il sistema con il metodo di sostituzione:

4.1 Isoliamo la y nella equazione 1 - lasciando al primo membro la y e portando al secondo membro tutto il resto:

Geometria del piano, sistema, equazioni del fascio di rette e circonferenza

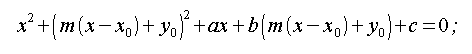
4.2 Sostituiamo alla equazione 2 la y, con la y trovata nella equazione 1 (4.1)

Geometria del piano, sistema, equazioni della retta e circonferenza

e facciamo gli opportuni calcoli e riduzioni.

5. Ci ritroveremo con l'equazione 2

Geometria del piano, sistema, equazioni di secondo grado parametrica in m

(opportunamente ridotta e ordinata ( che chiameremo equazione 2* )) uguale ad una equazione di secondo grado parametrica in m (i coefficienti dei termini di primo e secondo grado e il termine noto dipendono dal parametro m):

Geometria del piano, sistema, equazioni di secondo grado parametrica in m


Ricordando che il Δ (o discriminante) di una equazione di secondo grado e' uguale al secondo coefficiente b (o coefficiente del termine di primo grado) alla seconda meno 4 volte il primo coefficiente a (o coefficiente del termine di secondo grado) per il terzo c (o termine noto):
Geometria del piano, equazione di secondo grado, delta o discriminante di una equazione di secondo grado



da cui, il Δ della nostra equazione ( equazione 2* ):

Geometria del piano, equazione di secondo grado parametrica in m

7. Imponiamo la condizione di tangenza uguagliando a zero il Δ dell'equazione 2*:

Geometria del piano, equazione di secondo grado parametrica in m

e risolviamo . . . . troviamo due valori m1 ed m2 che sostituiamo all'equazione 1:

Geometria del piano, equazione delle rette tangenti alla circonferenza

le equazioni trovate sono le equazioni delle 2 rette del fascio tangenti alla circonferenza c e passanti per il punto P(x0, y0).



Made by Formule Development Team





Argomenti correlati e altri percorsi:


Circonferenza
Geometria analitica del piano, circonferenza
(locale-Formule)

Retta
Geometria analitica del piano, retta

(locale-Formule)

 

Posizioni reciproche di una retta ed una circonferenza nello stesso piano
Geometria del piano, posizioni reciproche di una retta ed una circonferenza nello stesso piano
(locale-Formule)

 




  Metti la scheda negli appunti    Click per visualizzare il blocco appunti Visualizza appunti    Click x svuotare blocco appunti Azzera appunti



UTILITY
FormuLe-MATEMATICALC

TROVA FORMULE

UTILITY
FormuLe-FISICALC


TROVA FORMULE

UTILITY
FormuLe-STATISTICALC

UTILITY
Formule-MATFINCALC

UTILITY
Formule-Software download

ARGOMENTI
Matematica

Frattali di Mandelbrot
Benoit Mandelbrot e la Geometria Frattale. Introduzione e immagini.

Statistica e giochi

Lotto e superEnalotto
Una sintetica comparazione statistica e finanziaria dei due giochi.

Ultimo aggiornamento - Last update:  17/11/2025
Privacy and cookies
© www.gobnf.com 2008-2026 - Tutto il materiale contenuto nel sito PUO' essere liberamente usato per scopi personali (studio, creazione di relazioni e tesine etc). Non e' consentito qualsiasi altro tipo di utilizzo o riproduzione. - The entire content of this site may be freely used ONLY for personal purposes (study, creation of reports etc.). It is not allowed any other use or reproduction.