Mappa del sito
Indice degli aggiornamenti  17/11/25
Metti formule tra i preferiti
Contattaci
Segnalaci ad un amico

Formule e argomenti di matematica, fisica e scienze
Albert Einstein: ... la nostra conoscenza, se paragonata alla realta' e' primitiva e infantile. Eppure e' il bene piu' grande che possediamo.
... all our science, measured against reality, is primitive and childlike-and yet it is the most precious thing we have.



Ci sono esercizi relativi a questa scheda ! Versione stampabile della scheda visualizzata sotto

Seguici in Facebook    Seguici in Pinterest

Matematica : Geometria analitica del piano

La circonferenza


Definizione:
La circonferenza e' il luogo geometrico (P) dei punti del piano, equidistanti da un punto fisso (C=centro).

Legenda:
C = Centro, r = Raggio

: IMMAGINE/APPLET : GEOMETRIA ANALITICA DEL PIANO : La circonferenza
  (ad applet avviato) Punti Mobili → P, C

0010010_V32|580|500|IMA=Geometria analitica del piano, La circonferenza


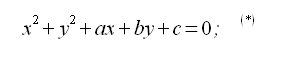
_______ EQUAZIONE DELLA CIRCONFERENZA

geometria analitica del piano, la circonferenza, equazione

(*)
     · Rappresenta una circonferenza solo se (a/2)2 + (b/2)2 - c > 0.
     · I coefficienti di x2 e y2 sono uguali fra loro.

     · Si chiama equazione normale della circonferenza
          se i coefficienti di x2 e y2 sono uguali a 1.


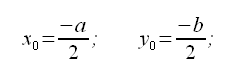
_______ COORDINATE DEL CENTRO (x0, y0)

geometria analitica del piano, la circonferenza, coordinate del centro


_______ COEFFICIENTI DEI TERMINI DI 1°

geometria analitica del piano, la circonferenza, coefficienti dei termini di primo grado


_______ RAGGIO (r)

geometria analitica del piano, la circonferenza, raggio

_______ EQUAZIONE DELLA CIRCONFERENZA

geometria analitica del piano, la circonferenza, equazione della circonferenza note le coordinate del centro e il raggio

(*)
     · Rappresenta una circonferenza solo se r > 0





CIRCONFERENZA CON COEFFICIENTI E TERMINE NOTO (a, b, c) A ZERO

   La circonferenza
   1       ha il centro sull'asse y     se a=0, b≠0, c≠0 
   2       ha il centro sull'asse delle x     se b=0, a≠0, c≠0 
   3       e' passante per l'origine degli assi     se c=0, a≠0, b≠0 
   4       ha il centro coincidente con l'origine degli assi     se a=0, b=0, c≠0 
   5       e' tangente all'asse x     se a=0, c=0, b≠ 0 
   6       e' tangente all'asse y     se b=0, c=0, a≠0 


: IMMAGINE/APPLET : VERIFICA LE FORMULE : La circonferenza
  (ad applet avviato) Punti Mobili → a, b, c

0010088_V32|580|510|IMA=Geometria analitica del piano, La circonferenza


Made by Formule Development Team





Argomenti correlati e altri percorsi:


Posizione di un punto P rispetto ad una circonferenza
Geometria analitica del piano, posizione di un punto P rispetto ad una circonferenza
(locale-Formule)

Retta tangente per un punto della circonferenza
Geometria analitica del piano, retta tangente per un punto della circonferenza
(locale-Formule)

 

Cerchio e circonferenza

Geometria del piano, cerchio e circonferenza
(locale-Formule)

Posizioni reciproche di due circonferenze in un piano
Geometria del piano, posizioni reciproche di due circonferenze in un piano
(locale-Formule)

 

Proprieta' delle circonferenze
Geometria del piano, proprieta' delle circonferenze
(locale-Formule)

Circonferenza
Geometria analitica del piano → Le curve, circonferenza
(locale-Formule)

 

Cerchio e circonferenza (note le coordinate del centro e di un punto sulla circonferenza)
Geometria analitica del piano, cerchio e circonferenza (note le coordinate del centro e di un punto sulla circonferenza)
(locale-Formule)

Le coniche e l'eccentricita'


Geometria analitica del piano, le coniche e l'eccentricita'

(locale-Formule)

 


- Esercizi, metodologie e svolgimento:


Circonferenza passante per tre punti
Equazione della circonferenza passante per tre punti dati (Sistema-Metodo di sostituzione)

 


  Metti la scheda negli appunti    Click per visualizzare il blocco appunti Visualizza appunti    Click x svuotare blocco appunti Azzera appunti



UTILITY
FormuLe-MATEMATICALC

TROVA FORMULE

UTILITY
FormuLe-FISICALC


TROVA FORMULE

UTILITY
FormuLe-STATISTICALC

UTILITY
Formule-MATFINCALC

UTILITY
Formule-Software download

ARGOMENTI
Matematica

Frattali di Mandelbrot
Benoit Mandelbrot e la Geometria Frattale. Introduzione e immagini.

Statistica e giochi

Lotto e superEnalotto
Una sintetica comparazione statistica e finanziaria dei due giochi.

Ultimo aggiornamento - Last update:  17/11/2025
Privacy and cookies
© www.gobnf.com 2008-2026 - Tutto il materiale contenuto nel sito PUO' essere liberamente usato per scopi personali (studio, creazione di relazioni e tesine etc). Non e' consentito qualsiasi altro tipo di utilizzo o riproduzione. - The entire content of this site may be freely used ONLY for personal purposes (study, creation of reports etc.). It is not allowed any other use or reproduction.