Matematica: Geometria analitica del piano
Circonferenza passante per tre punti
♦ Testo dell'esercizio ♦
Trovare l'equazione della circonferenza passante per i punti:
♦ Metodo risolutivo ♦
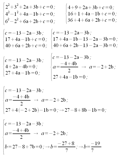
Iniziamo considerando l'equazione generale o canonica della circonferenza (1):
♦ Imponiamo il passaggio per il punto A(2;3) sostituendo le coordinate di A nell'equazione (1):
♦ Imponiamo il passaggio per il punto B(4;-1) sostituendo le coordinate di B nell'equazione (1):
♦ Imponiamo il passaggio per il punto C(6;2) sostituendo le coordinate di C nell'equazione (1):
♦ Abbiamo 3 equazioni e 3 incognite (i coefficienti a, b, c). Ricaviamo i valori dei coefficienti mettendo a sistema le tre equazioni.
♦ Risolviamo il sistema con il metodo di sostituzione.
♦ Sostituiamo i valori dei coefficienti a,b, e c nella equazione (1) e ricaviamo la soluzione.
♦ Soluzione ♦
: IMMAGINE/APPLET : VERIFICA LE FORMULE : Esercizi, circonferenza passante per 3 punti
(ad applet avviato) Punti Mobili → A, B, C
EV0010001_V40|580|400|IMA=Geometria analitica del piano, esercizi, circonferenza passante per tre punti
