Mappa del sito
Indice degli aggiornamenti  17/11/25
Metti formule tra i preferiti
Contattaci
Segnalaci ad un amico

Formule e argomenti di matematica, fisica e scienze
Albert Einstein: ... la nostra conoscenza, se paragonata alla realta' e' primitiva e infantile. Eppure e' il bene piu' grande che possediamo.
... all our science, measured against reality, is primitive and childlike-and yet it is the most precious thing we have.



Versione stampabile della scheda visualizzata sotto

Seguici in Facebook    Seguici in Pinterest

Matematica : Geometria analitica del piano → Metodi di risoluzione dei problemi

Coordinate dei punti di intersezione di una retta ed una parabola


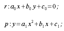
Equazioni della retta r e della parabola p:

Geometria del piano, equazioni della retta e della parabola

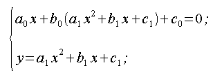
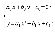
1. Mettiamo a sistema le equazioni r e p (che di seguito chiameremo equazione 1 ed equazione 2):

Geometria del piano, sistema equazioni della retta e parabola

2. Cominciamo a risolvere il sistema con il metodo di sostituzione:

2.1 Sostituiamo alla equazione 1 la y, con la y della equazione 2

Geometria del piano, sistema, equazioni della retta e parabola


e facciamo gli opportuni calcoli e riduzioni.

Ci ritroveremo con l'equazione 1 uguale ad una equazione di secondo grado.

Troviamo ora le soluzioni dell'equazione 1 con la formula generale risolutiva di una equazione di secondo grado:

Geometria del piano, equazione di secondo grado, formula risolutiva di una equazione di secondo grado

Sostituiamo all'equazione 2 i valori trovati x0 e x1  (1)  e troviamo i rispettivi valori di y0 e y1.


Le coordinate cercate, dei punti di intersezione di una retta ed una parabola sono:

  P0(x0, y0);    P1(x1, y1);



(1)   Ricorda che,    il Δ (o discriminante) di una equazione di secondo grado e' uguale al secondo coefficiente b (o coefficiente del termine di primo grado) alla seconda meno 4 volte il primo coefficiente a (o coefficiente del termine di secondo grado) per il terzo c (o termine noto))

    Geometria del piano, equazione di secondo grado, delta o discriminante di una equazione di secondo grado

Se il Δ e' > 0    i punti di intersezione saranno 2 (radici reali e distinte) x0 e x1 con x0 ≠ x1 (la retta e la parabola HANNO 2 punti in comune → La retta e' SECANTE);

Se il Δ e' = 0    i punti di intersezione saranno 2 (radici reali e cincidenti) x0 e x1 con x0 = x1
(la retta e la parabola HANNO 2 punti in comune COINCIDENTI (uguali) → La retta e' TANGENTE);

Se il Δ e' < 0    non ci saranno punti di intersezione (radici complesse e coniugate)
(la retta e la parabola NON HANNO punti in comune → La retta e' ESTERNA);




Made by Formule Development Team





Argomenti correlati e altri percorsi:


Parabola
Geometria analitica del piano, parabola
(locale-Formule)

Retta
Geometria analitica del piano, retta
(locale-Formule)

 




  Metti la scheda negli appunti    Click per visualizzare il blocco appunti Visualizza appunti    Click x svuotare blocco appunti Azzera appunti



UTILITY
FormuLe-MATEMATICALC

TROVA FORMULE

UTILITY
FormuLe-FISICALC


TROVA FORMULE

UTILITY
FormuLe-STATISTICALC

UTILITY
Formule-MATFINCALC

UTILITY
Formule-Software download

ARGOMENTI
Matematica

Frattali di Mandelbrot
Benoit Mandelbrot e la Geometria Frattale. Introduzione e immagini.

Statistica e giochi

Lotto e superEnalotto
Una sintetica comparazione statistica e finanziaria dei due giochi.

Ultimo aggiornamento - Last update:  17/11/2025
Privacy and cookies
© www.gobnf.com 2008-2026 - Tutto il materiale contenuto nel sito PUO' essere liberamente usato per scopi personali (studio, creazione di relazioni e tesine etc). Non e' consentito qualsiasi altro tipo di utilizzo o riproduzione. - The entire content of this site may be freely used ONLY for personal purposes (study, creation of reports etc.). It is not allowed any other use or reproduction.