Mappa del sito
Indice degli aggiornamenti  17/11/25
Metti formule tra i preferiti
Contattaci
Segnalaci ad un amico

Formule e argomenti di matematica, fisica e scienze
Albert Einstein: ... la nostra conoscenza, se paragonata alla realta' e' primitiva e infantile. Eppure e' il bene piu' grande che possediamo.
... all our science, measured against reality, is primitive and childlike-and yet it is the most precious thing we have.



Versione stampabile della scheda visualizzata sotto

Seguici in Facebook    Seguici in Pinterest

Matematica : Numeri complessi

Operazioni sui numeri complessi in forma algebrica


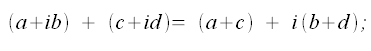
Addizione:
La somma di due (o piu') numeri complessi e' quel numero complesso che ha come parte reale la somma delle parti reali e come coefficiente dell'immaginario la somma dei coefficienti dell'immaginario.
Numeri complessi, Addizione di due o piu numeri complessi

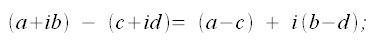
Sottrazione:
La differenza di due numeri complessi e' quel numero complesso che ha come parte reale la differenza delle parti reali e come coefficiente dell'immaginario la differenza dei coefficienti dell'immaginario.
Numeri complessi, sottrazione di due numeri complessi

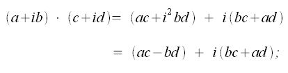
Prodotto:
Il prodotto di due numeri complessi si ottiene utilizzando le regole di calcolo adottate nella moltiplicazione di due binomi.
Numeri complessi, prodotto di due numeri complessi

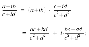
Quoziente:
Il quoziente di due numeri complessi e' il prodotto del primo numero complesso per il reciproco del secondo.
Numeri complessi, quoziente di due numeri complessi



Made by Formule Development Team





Argomenti correlati e altri percorsi:


Unita' immaginaria

Numeri complessi, unita' immaginaria
(locale-Formule)

Definizione di numero complesso
Numeri complessi, definizione di numero complesso
(locale-Formule)

 

Piano complesso (o di Gauss)
Numeri complessi, piano complesso (o di Gauss)
(locale-Formule)

Forme del numero complesso
Numeri complessi, Forme del numero complesso
(locale-Formule)

 

Operazioni sui numeri complessi in forma trigonometrica
Numeri complessi, operazioni sui numeri complessi in forma trigonometrica
(locale-Formule)

Reciproco dei numeri complessi in forma trigonometrica
Numeri complessi, reciproco dei numeri complessi in forma trigonometrica
(locale-Formule)

 

Potenza dei numeri complessi in forma trigonometrica
Numeri complessi, potenza dei numeri complessi in forma trigonometrica

(locale-Formule)

Radice n-esima dei numeri complessi in forma trigonometrica
Numeri complessi, radice n-esima dei numeri complessi in forma trigonometrica
(locale-Formule)

 




  Metti la scheda negli appunti    Click per visualizzare il blocco appunti Visualizza appunti    Click x svuotare blocco appunti Azzera appunti



UTILITY
FormuLe-MATEMATICALC

TROVA FORMULE

UTILITY
FormuLe-FISICALC


TROVA FORMULE

UTILITY
FormuLe-STATISTICALC

UTILITY
Formule-MATFINCALC

UTILITY
Formule-Software download

ARGOMENTI
Matematica

Frattali di Mandelbrot
Benoit Mandelbrot e la Geometria Frattale. Introduzione e immagini.

Statistica e giochi

Lotto e superEnalotto
Una sintetica comparazione statistica e finanziaria dei due giochi.

Ultimo aggiornamento - Last update:  17/11/2025
Privacy and cookies
© www.gobnf.com 2008-2026 - Tutto il materiale contenuto nel sito PUO' essere liberamente usato per scopi personali (studio, creazione di relazioni e tesine etc). Non e' consentito qualsiasi altro tipo di utilizzo o riproduzione. - The entire content of this site may be freely used ONLY for personal purposes (study, creation of reports etc.). It is not allowed any other use or reproduction.