Mappa del sito
Indice degli aggiornamenti  17/11/25
Metti formule tra i preferiti
Contattaci
Segnalaci ad un amico

Formule e argomenti di matematica, fisica e scienze
Albert Einstein: ... la nostra conoscenza, se paragonata alla realta' e' primitiva e infantile. Eppure e' il bene piu' grande che possediamo.
... all our science, measured against reality, is primitive and childlike-and yet it is the most precious thing we have.



Versione stampabile della scheda visualizzata sotto

Seguici in Facebook    Seguici in Pinterest

Matematica : Numeri complessi

Numero complesso, definizione

Si definisce numero complesso (in forma algebrica) ogni espressione di tipo a + bi dove:

  - Il primo termine a, e' un numero reale e si chiama PARTE REALE del numero
    complesso;

  - Il secondo termine bi si chiama PARTE IMMAGINARIA del numero complesso
    (con b numero reale detto COEFFICIENTE della UNITA' IMMAGINARIA).


Il numero e' un NUMERO IMMAGINARIO PURO se a = 0.

Il numero e' un NUMERO REALE se b = 0.



L'OPPOSTO del numero complesso a + bi e' -a + (-b)i


Il CONIUGATO del numero complesso a + bi e' a + (-b)i


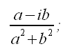
Il RECIPROCO del numero complesso a + bi e'

Numeri complessi, reciproco di un numero complesso


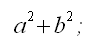
La NORMA del numero complesso a + bi:

Numeri complessi, norma di un numero complesso

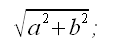
Il MODULO del numero complesso a + bi:

Numeri complessi, modulo di un numero complesso



Made by Formule Development Team





Argomenti correlati e altri percorsi:


Unita' immaginaria

Numeri complessi, unita' immaginaria
(locale-Formule)

Piano complesso (o di Gauss)
Numeri complessi, piano complesso (o di Gauss)
(locale-Formule)

 

Forme del numero complesso

Numeri complessi, forme del numero complesso
(locale-Formule)

Operazioni sui numeri complessi in forma algebrica
Numeri complessi, operazioni sui numeri complessi in forma algebrica
(locale-Formule)

 

Operazioni sui numeri complessi in forma trigonometrica
Numeri complessi, operazioni sui numeri complessi in forma trigonometrica
(locale-Formule)

Reciproco dei numeri complessi in forma trigonometrica
Numeri complessi, reciproco dei numeri complessi in forma trigonometrica
(locale-Formule)

 

Potenza dei numeri complessi in forma trigonometrica
Numeri complessi, potenza dei numeri complessi in forma trigonometrica

(locale-Formule)

Radice n-esima dei numeri complessi in forma trigonometrica
Numeri complessi, radice n-esima dei numeri complessi in forma trigonometrica
(locale-Formule)

 




  Metti la scheda negli appunti    Click per visualizzare il blocco appunti Visualizza appunti    Click x svuotare blocco appunti Azzera appunti



UTILITY
FormuLe-MATEMATICALC

TROVA FORMULE

UTILITY
FormuLe-FISICALC


TROVA FORMULE

UTILITY
FormuLe-STATISTICALC

UTILITY
Formule-MATFINCALC

UTILITY
Formule-Software download

ARGOMENTI
Matematica

Frattali di Mandelbrot
Benoit Mandelbrot e la Geometria Frattale. Introduzione e immagini.

Statistica e giochi

Lotto e superEnalotto
Una sintetica comparazione statistica e finanziaria dei due giochi.

Ultimo aggiornamento - Last update:  17/11/2025
Privacy and cookies
© www.gobnf.com 2008-2026 - Tutto il materiale contenuto nel sito PUO' essere liberamente usato per scopi personali (studio, creazione di relazioni e tesine etc). Non e' consentito qualsiasi altro tipo di utilizzo o riproduzione. - The entire content of this site may be freely used ONLY for personal purposes (study, creation of reports etc.). It is not allowed any other use or reproduction.