Matematica : Progressioni numeriche
Progressioni geometriche
Definizione:
Una progressione geometrica e' una successione di NUMERI (chiamati termini o elementi della progressione)
tali che il RAPPORTO fra un termine e il precedente e' costante
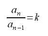
Il RAPPORTO costante fra un termine e il precedente, che abbiamo indicato sopra con la lettera k, e' chiamato ragione.
La ragione, in una progressione geometrica, viene solitamente indicata con la lettera q.
Se la ragione:
0 < q < 1 → la progressione e' decrescente: ogni termine della progressione e' MINORE del termine precedente. I termini sono tutti di segno uguale (tutti positivi o tutti negativi);
q >= 1 → la progressione e' crescente: ogni termine della progressione e' MAGGIORE del termine precedente. I termini sono tutti di segno uguale (tutti positivi o tutti negativi);
q < 0 → I termini della progressione sono, altenativamente, di segno opposto (... positivo, negativo, positivo ...);
q = 0 → la progressione e' costante: tutti termini della progressione sono uguali.
Un termine qualunque, in una progressione geometrica, puo' essere ottenuto moltiplicando o dividendo la ragione al termine precedente (o al termine successivo).
Il primo e l'ultimo termine, in una progressione con un numero finito di elementi, sono chiamati estremi della progressione.
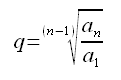
LA RAGIONE (q) con n > 1
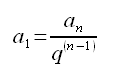
IL PRIMO TERMINE (a1)
In una progressione geometrica, il primo termine e' uguale al rapporto fra il termine n-esimo e la ragione elevata al numero dei termini -1.
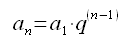
IL TERMINE N-SIMO (an)
In una progressione geometrica, il termine n-esimo e' uguale al prodotto del primo termine e la ragione elavata al numero dei termini che lo precedono.
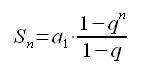
LA SOMMA DI TERMINI CONSECUTIVI (Sn) con q ≠ 1
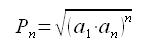
IL PRODOTTO DEI PRIMI TERMINI CONSECUTIVI (TERMINI POSITIVI)
In una progressione geometrica a termini positivi, il prodotto dei primi n termini e' uguale alla radice quadrata del prodotto degli estremi elevato al numero dei termini.
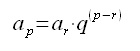
DUE TERMINI QUALSIASI (ap, ar)
In una progressione geometrica, un termine qualsiasi ap e' uguale al prodotto di un'altro termine qualsiasi ar e la ragione elevata alla differenza fra le posizioni dei due termini (p - r).
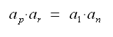
IL PRODOTTO DI DUE TERMINI EQUIDISTANTI DAGLI ESTREMI (ap, ar)
In una progressione geometrica con un numero di elementi finiti, il prodotto di due termini ap e ar equidistanti dagli estremi (il numero di termini che precedono ap e' = il numero di termini che seguono ar) e' uguale al prodotto degli estremi.
