Mappa del sito
Indice degli aggiornamenti  17/11/25
Metti formule tra i preferiti
Contattaci
Segnalaci ad un amico

Formule e argomenti di matematica, fisica e scienze
Albert Einstein: ... la nostra conoscenza, se paragonata alla realta' e' primitiva e infantile. Eppure e' il bene piu' grande che possediamo.
... all our science, measured against reality, is primitive and childlike-and yet it is the most precious thing we have.



Versione stampabile della scheda visualizzata sotto

Seguici in Facebook    Seguici in Pinterest

Matematica : Progressioni numeriche

Progressioni aritmetiche


Definizione:
Una progressione aritmetica e' una successione di NUMERI (chiamati termini o elementi della progressione)
Progressioni numeriche, progressione aritmetica, successione di termini, successione di elementi
tali che la DIFFERENZA fra un termine e il precedente e' costante
Progressioni numeriche, progressione aritmetica, differenza fra un termine e il precedente


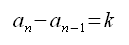
La DIFFERENZA costante fra un termine e il precedente, che abbiamo indicato sopra con la lettera k, e' chiamata ragione.

La ragione, in una progressione aritmetica, viene solitamente indicata con la lettera d.

Se la ragione:
d > 0 → la progressione e' crescente: ogni termine della progressione e' MAGGIORE del termine precedente;

d < 0 → la progressione e' decrescente: ogni termine della progressione e' MINORE del termine precedente;

d = 0 → la progressione e' costante: tutti termini della progressione sono uguali.


Un termine qualunque, in una progressione aritmetica, puo' essere ottenuto sommando o sottraendo la ragione al termine precedente (o al termine successivo).

Il primo e l'ultimo termine, in una progressione con un numero finito di elementi, sono chiamati estremi della progressione.


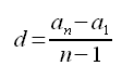
LA RAGIONE (d)
Progressioni numeriche, progressione aritmetica, la ragione

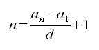
IL NUMERO DEI TERMINI (n)
Progressioni numeriche, progressione aritmetica, numero dei termini

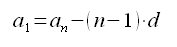
IL PRIMO TERMINE (a1)
In una progressione aritmetica, il primo termine e' uguale alla differenza fra il termine n-esimo e il numero dei termini che lo precedono moltiplicati la ragione. Progressioni numeriche, progressione aritmetica, il primo termine

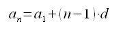
IL TERMINE N-SIMO (an)
In una progressione aritmetica, il termine n-esimo e' uguale alla somma del primo termine e il numero dei termini che lo precedono moltiplicati la ragione.
Progressioni numeriche, progressione aritmetica, il termine n-esimo

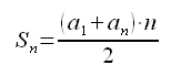
LA SOMMA DI TERMINI CONSECUTIVI (Sn)
In una progressione aritmetica, la somma dei primi n termini consecutivi e' uguale alla somma dei termini estremi per il numero n dei termini diviso 2.
Progressioni numeriche, progressione aritmetica, somma di termini consecutivi

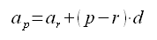
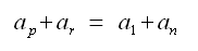
DUE TERMINI QUALSIASI (ap, ar)
In una progressione aritmetica, un termine qualsiasi ap e' uguale alla somma di un'altro termine qualsiasi ar e la differenza fra le posizioni dei due termini (p - r) moltiplicata per la ragione.
Progressioni numeriche, progressione aritmetica, relazione fra termini qualsiasi

LA SOMMA DI DUE TERMINI EQUIDISTANTI DAGLI ESTREMI (ap, ar)
In una progressione aritmetica con un numero di elementi finiti, la somma di due termini ap e ar equidistanti dagli estremi (il numero di termini che precedono ap e' = il numero di termini che seguono ar) e' uguale alla somma degli estremi.
Progressioni numeriche, progressione aritmetica, relazione fra termini qualsiasi



Made by Formule Development Team





Argomenti correlati e altri percorsi:


Progressioni geometriche

Progressioni numeriche, progressioni geometriche

(locale-Formule)

Progressioni aritmetiche e geometriche
Progressioni numeriche, progressioni aritmetiche e geometriche (tabella riassuntiva)
(locale-Formule)

 

Medi aritmetici fra due numeri
Progressioni numeriche, medi aritmetici fra due numeri
(locale-Formule)

 




  Metti la scheda negli appunti    Click per visualizzare il blocco appunti Visualizza appunti    Click x svuotare blocco appunti Azzera appunti



UTILITY
FormuLe-MATEMATICALC

TROVA FORMULE

UTILITY
FormuLe-FISICALC


TROVA FORMULE

UTILITY
FormuLe-STATISTICALC

UTILITY
Formule-MATFINCALC

UTILITY
Formule-Software download

ARGOMENTI
Matematica

Frattali di Mandelbrot
Benoit Mandelbrot e la Geometria Frattale. Introduzione e immagini.

Statistica e giochi

Lotto e superEnalotto
Una sintetica comparazione statistica e finanziaria dei due giochi.

Ultimo aggiornamento - Last update:  17/11/2025
Privacy and cookies
© www.gobnf.com 2008-2026 - Tutto il materiale contenuto nel sito PUO' essere liberamente usato per scopi personali (studio, creazione di relazioni e tesine etc). Non e' consentito qualsiasi altro tipo di utilizzo o riproduzione. - The entire content of this site may be freely used ONLY for personal purposes (study, creation of reports etc.). It is not allowed any other use or reproduction.