Mappa del sito
Indice degli aggiornamenti  17/11/25
Metti formule tra i preferiti
Contattaci
Segnalaci ad un amico

Formule e argomenti di matematica, fisica e scienze
Albert Einstein: ... la nostra conoscenza, se paragonata alla realta' e' primitiva e infantile. Eppure e' il bene piu' grande che possediamo.
... all our science, measured against reality, is primitive and childlike-and yet it is the most precious thing we have.



Versione stampabile della scheda visualizzata sotto

Seguici in Facebook    Seguici in Pinterest

Matematica: Geometria del piano

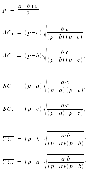
Misura delle distanze dei vertici dagli excentri


Geometria del piano, circonferenze exinscritte ad un triangolo, triangolo, circonferenze, distanze dei vertici del triangolo dagli excentri, exincentri di un triangolo, vertici del triangolo


Legenda:
ABC = Triangolo ABC, a, b, c = Lati del triangolo, A, B, C = Vertici del triangolo, Ca = Excentro (o exincentro) della circonferenza exinscritta tangente al lato a, Cb = Excentro (o exincentro) della circonferenza exinscritta tangente al lato b, Cc = Excentro (o exincentro) della circonferenza exinscritta tangente al lato c, ACa, ACb, ACc = Distanza del vertice A dagli excentri, BCa, BCb, BCc = Distanza del vertice B dagli excentri, CCa, CCb, CCc = Distanza del vertice C dagli excentri.


___ DISTANZA DEI VERTICI A, B e C DAGLI EXCENTRI
___ (p=semiperimetro del triangolo)

Geometria del piano, triangolo, distanza dei vertici del triangolo dagli exincentri, formule



: IMMAGINE/APPLET : VERIFICA LE FORMULE : Misura delle distanze dei vertici del triangolo dagli excentri
  (ad applet avviato) Punti Mobili → A, B, C

0010624_V32|580|540|IMA=Geometria del piano, misura delle distanze dei vertici del triangolo dagli excentri


Made by Formule Development Team





Argomenti correlati e altri percorsi:


Misura dei raggi dei cerchi ex-inscritti ad un triangolo
Geometria del piano, misura dei raggi dei cerchi ex-inscritti ad un triangolo
(locale-Formule)

Misura dei raggi dei cerchi ex-inscritti ad un triangolo
Trigonometria, misura dei raggi dei cerchi ex-inscritti ad un triangolo
(locale-Formule)

 

Misura delle distanze degli excentri dai vertici opposti
Geometria del piano, misura delle distanze degli excentri dai vertici opposti
(locale-Formule)

Misura delle distanze degli excentri

Geometria del piano, misura delle distanze degli excentri
(locale-Formule)

 

Misura delle distanze degli excentri
Trigonometria, misura delle distanze degli excentri
(locale-Formule)

 




  Metti la scheda negli appunti    Click per visualizzare il blocco appunti Visualizza appunti    Click x svuotare blocco appunti Azzera appunti



UTILITY
FormuLe-MATEMATICALC

TROVA FORMULE

UTILITY
FormuLe-FISICALC


TROVA FORMULE

UTILITY
FormuLe-STATISTICALC

UTILITY
Formule-MATFINCALC

UTILITY
Formule-Software download

ARGOMENTI
Matematica

Frattali di Mandelbrot
Benoit Mandelbrot e la Geometria Frattale. Introduzione e immagini.

Statistica e giochi

Lotto e superEnalotto
Una sintetica comparazione statistica e finanziaria dei due giochi.

Ultimo aggiornamento - Last update:  17/11/2025
Privacy and cookies
© www.gobnf.com 2008-2026 - Tutto il materiale contenuto nel sito PUO' essere liberamente usato per scopi personali (studio, creazione di relazioni e tesine etc). Non e' consentito qualsiasi altro tipo di utilizzo o riproduzione. - The entire content of this site may be freely used ONLY for personal purposes (study, creation of reports etc.). It is not allowed any other use or reproduction.