Mappa del sito
Indice degli aggiornamenti  17/11/25
Metti formule tra i preferiti
Contattaci
Segnalaci ad un amico

Formule e argomenti di matematica, fisica e scienze
Albert Einstein: ... la nostra conoscenza, se paragonata alla realta' e' primitiva e infantile. Eppure e' il bene piu' grande che possediamo.
... all our science, measured against reality, is primitive and childlike-and yet it is the most precious thing we have.



Versione stampabile della scheda visualizzata sotto

Seguici in Facebook    Seguici in Pinterest

Matematica: Geometria del piano

Misura delle distanze degli excentri


Geometria del piano, circonferenze exinscritte ad un triangolo, triangolo, circonferenze, distanze degli excentri, exincentri di un triangolo


Legenda:
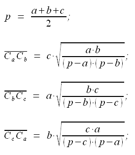
ABC = Triangolo ABC, a, b, c = Lati del triangolo, A, B, C = Vertici del triangolo, Ca = Excentro (o exincentro) della circonferenza exinscritta tangente al lato a, Cb = Excentro (o exincentro) della circonferenza exinscritta tangente al lato b, Cc = Excentro (o exincentro) della circonferenza exinscritta tangente al lato c, CaCb = Distanza dell'excentro Ca dall'excentro Cb, CbCc = Distanza dell'excentro Cb dall'excentro Cc, CcCa = Distanza dell'excentro Cc dall'excentro Ca.


___ DISTANZA DEGLI EXCENTRI
___ (p=semiperimetro del triangolo)

Geometria del piano, triangolo, distanza degli exincentri, formule



: IMMAGINE/APPLET : VERIFICA LE FORMULE : Misura delle distanze degli excentri
  (ad applet avviato) Punti Mobili → A, B, C

0010622_V32|580|540|IMA=Geometria del piano, misura delle distanze degli excentri


Made by Formule Development Team





Argomenti correlati e altri percorsi:


Misura dei raggi dei cerchi ex-inscritti ad un triangolo
Geometria del piano, misura dei raggi dei cerchi ex-inscritti ad un triangolo
(locale-Formule)

Misura dei raggi dei cerchi ex-inscritti ad un triangolo
Trigonometria, misura dei raggi dei cerchi ex-inscritti ad un triangolo
(locale-Formule)

 

Misura delle distanze degli excentri dai vertici opposti
Geometria del piano, misura delle distanze degli excentri dai vertici opposti
(locale-Formule)

Misura delle distanze degli excentri

Trigonometria, misura delle distanze degli excentri
(locale-Formule)

 

Misura della distanza dei vertici dagli excentri
Geometria del piano, misura della distanza dei vertici degli excentri
(locale-Formule)

 




  Metti la scheda negli appunti    Click per visualizzare il blocco appunti Visualizza appunti    Click x svuotare blocco appunti Azzera appunti



UTILITY
FormuLe-MATEMATICALC

TROVA FORMULE

UTILITY
FormuLe-FISICALC


TROVA FORMULE

UTILITY
FormuLe-STATISTICALC

UTILITY
Formule-MATFINCALC

UTILITY
Formule-Software download

ARGOMENTI
Matematica

Frattali di Mandelbrot
Benoit Mandelbrot e la Geometria Frattale. Introduzione e immagini.

Statistica e giochi

Lotto e superEnalotto
Una sintetica comparazione statistica e finanziaria dei due giochi.

Ultimo aggiornamento - Last update:  17/11/2025
Privacy and cookies
© www.gobnf.com 2008-2026 - Tutto il materiale contenuto nel sito PUO' essere liberamente usato per scopi personali (studio, creazione di relazioni e tesine etc). Non e' consentito qualsiasi altro tipo di utilizzo o riproduzione. - The entire content of this site may be freely used ONLY for personal purposes (study, creation of reports etc.). It is not allowed any other use or reproduction.