Mappa del sito
Indice degli aggiornamenti  17/11/25
Metti formule tra i preferiti
Contattaci
Segnalaci ad un amico

Formule e argomenti di matematica, fisica e scienze
Albert Einstein: ... la nostra conoscenza, se paragonata alla realta' e' primitiva e infantile. Eppure e' il bene piu' grande che possediamo.
... all our science, measured against reality, is primitive and childlike-and yet it is the most precious thing we have.



Versione stampabile della scheda visualizzata sotto

Seguici in Facebook    Seguici in Pinterest

Matematica : Geometria analitica nello spazio

Equazione della retta dalla forma parametrica alla forma cartesiana

Equazione della retta nello spazio: passaggio dalla forma parametrica alla forma cartesiana.

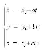
_______ EQUAZIONE PARAMETRICA DELLA RETTA
_______ PASSANTE PER UN PUNTO E PARALLELA AL VETTORE (a,b,c)
_______ (con t in R e a,b,c ≠ 0)
Data l'equazione parametrica della retta nello spazio passante per un punto di coordinate x0, y0, z0 e parallela al vettore (a,b,c).

Geometria analitica nello spazio, equazione parametrica della retta nello spazio

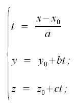
Risolviamo rispetto a t una delle tre equazioni (x o y o z), nell'esempio ricaviamo t nella prima equazione (x)

Geometria analitica nello spazio, ricavo t dalla prima equazione

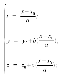
Sostituiamo l'espressione trovata nelle altre due equazioni (y e z)

Geometria analitica nello spazio, sostituisco t nelle altre due equazioni


Eliminiamo la t (la prima equazione) e ... abbiamo l'equazione cartesiana della retta

Geometria analitica nello spazio, equazioni x e y



Facciamo un ultimo passaggio: nelle due equazioni (y e z) portiamo al primo membro, la y0 e la b nella prima equazione e la z0 e la c nella seconda equazione, da cui:


_______ L'EQUAZIONE CARTESIANA DELLA RETTA
_______ PASSANTE PER UN PUNTO E PARALLELA AL VETTORE (a,b,c)
_______ (con a,b,c ≠ 0)

Geometria analitica nello spazio, equazione cartesiana della retta nello spazio

Made by Formule Development Team



Argomenti correlati e altri percorsi:


Equazione della retta
Geometria analitica nello spazio, equazione della retta
(locale-Formule)

 




  Metti la scheda negli appunti    Click per visualizzare il blocco appunti Visualizza appunti    Click x svuotare blocco appunti Azzera appunti



UTILITY
FormuLe-MATEMATICALC

TROVA FORMULE

UTILITY
FormuLe-FISICALC


TROVA FORMULE

UTILITY
FormuLe-STATISTICALC

UTILITY
Formule-MATFINCALC

UTILITY
Formule-Software download

ARGOMENTI
Matematica

Frattali di Mandelbrot
Benoit Mandelbrot e la Geometria Frattale. Introduzione e immagini.

Statistica e giochi

Lotto e superEnalotto
Una sintetica comparazione statistica e finanziaria dei due giochi.

Ultimo aggiornamento - Last update:  17/11/2025
Privacy and cookies
© www.gobnf.com 2008-2026 - Tutto il materiale contenuto nel sito PUO' essere liberamente usato per scopi personali (studio, creazione di relazioni e tesine etc). Non e' consentito qualsiasi altro tipo di utilizzo o riproduzione. - The entire content of this site may be freely used ONLY for personal purposes (study, creation of reports etc.). It is not allowed any other use or reproduction.