Mappa del sito
Indice degli aggiornamenti  17/11/25
Metti formule tra i preferiti
Contattaci
Segnalaci ad un amico

Formule e argomenti di matematica, fisica e scienze
Albert Einstein: ... la nostra conoscenza, se paragonata alla realta' e' primitiva e infantile. Eppure e' il bene piu' grande che possediamo.
... all our science, measured against reality, is primitive and childlike-and yet it is the most precious thing we have.



Versione stampabile della scheda visualizzata sotto

Seguici in Facebook    Seguici in Pinterest

Matematica : Geometria analitica nello spazio

Equazione della retta


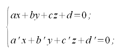
_______ EQUAZIONE CARTESIANA DELLA RETTA
_______ INTERSEZIONE DI DUE PIANI NON PARALLELI
L'intersezione di due piani non paralleli di equazione ax + by + cz + d = 0 e a'x + b'y + c'z + d' = 0 reppresenta l'equazione cartesiana della retta nello spazio

Geometria analitica nello spazio, equazione cartesiana della retta nello spazio, intersezione di due piani



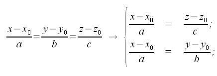
_______ EQUAZIONE CARTESIANA DELLA RETTA
_______ PASSANTE PER UN PUNTO E PARALLELA AL VETTORE (a,b,c)
_______ ( con a,b,c ≠ 0 )
Equazione cartesiana della retta nello spazio passante per un punto di coordinate x0, y0, z0 e paralella al vettore (a, b, c).

Geometria analitica nello spazio, equazione cartesiana della retta nello spazio, per un punto e parallela al vettore (a, b, c)



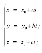
_______ EQUAZIONE PARAMETRICA DELLA RETTA
_______ PASSANTE PER UN PUNTO E PARALLELA AL VETTORE (a,b,c)
_______ ( con t in R)
Equazione parametrica della retta nello spazio passante per un punto di coordinate x0, y0, z0 e paralella al vettore (a, b, c).

Tutti e solo i punti appartenenti alla retta vengono individuati variando il parametro t. I coefficienti di t: a, b, c si chiamano parametri direttori della retta.

Geometria analitica nello spazio, equazione parametrica della retta nello spazio

Made by Formule Development Team



Argomenti correlati e altri percorsi:


Equazione della retta dalla forma parametrica alla forma cartesiana
Geometria analitica nello spazio, equazione della retta dalla forma parametrica alla forma cartesiana
(locale-Formule)

 




  Metti la scheda negli appunti    Click per visualizzare il blocco appunti Visualizza appunti    Click x svuotare blocco appunti Azzera appunti



UTILITY
FormuLe-MATEMATICALC

TROVA FORMULE

UTILITY
FormuLe-FISICALC


TROVA FORMULE

UTILITY
FormuLe-STATISTICALC

UTILITY
Formule-MATFINCALC

UTILITY
Formule-Software download

ARGOMENTI
Matematica

Frattali di Mandelbrot
Benoit Mandelbrot e la Geometria Frattale. Introduzione e immagini.

Statistica e giochi

Lotto e superEnalotto
Una sintetica comparazione statistica e finanziaria dei due giochi.

Ultimo aggiornamento - Last update:  17/11/2025
Privacy and cookies
© www.gobnf.com 2008-2026 - Tutto il materiale contenuto nel sito PUO' essere liberamente usato per scopi personali (studio, creazione di relazioni e tesine etc). Non e' consentito qualsiasi altro tipo di utilizzo o riproduzione. - The entire content of this site may be freely used ONLY for personal purposes (study, creation of reports etc.). It is not allowed any other use or reproduction.