Mappa del sito
Indice degli aggiornamenti  17/11/25
Metti formule tra i preferiti
Contattaci
Segnalaci ad un amico

Formule e argomenti di matematica, fisica e scienze
Albert Einstein: ... la nostra conoscenza, se paragonata alla realta' e' primitiva e infantile. Eppure e' il bene piu' grande che possediamo.
... all our science, measured against reality, is primitive and childlike-and yet it is the most precious thing we have.



Versione stampabile della scheda visualizzata sotto

Seguici in Facebook    Seguici in Pinterest

Matematica : Geometria analitica del piano → Le curve

Nefroide

La nefroide e' una epicicloide in quanto si puo' ottenere dal percorso descritto da un punto fisso su una curva che rotoli (senza slittare o strisciare) su un'altra curva fissa (e precisamente: il percorso descritto da un punto su una circonferenza che rotola intorno ad un'altra circonferenza fissa). E' chiamata nefroide per la sua forma che ricorda un rene.

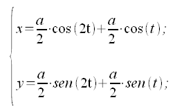
___ EQUAZIONE CARTESIANA PARAMETRICA NEFROIDE

Geometria analitica del piano, curve, nefroide, equazione parametrica, equazione parametrica cartesiana, coordinate cartesiane


: IMMAGINE/APPLET : VERIFICA LE FORMULE : Le curve, Nefroide
  (ad applet avviato) Punti Mobili → a, α

0010365_V40|580|540|IMA=Geometria analitica del piano, le curve, nefroide


Evoluta della nefroide

L'evoluta della nefroide e' sempre una nefroide di dimenzione dimezzate (pari ad 1/2 della nefroide).

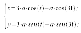
___ EQUAZIONE CARTESIANA PARAMETRICA EVOLUTA DELLA NEFROIDE

Geometria analitica del piano, curve, evoluta della nefrooide, equazione parametrica evoluta, equazione parametrica cartesiana evoluta, coordinate cartesiane


: IMMAGINE/APPLET : VERIFICA LE FORMULE : Le curve, Evoluta della nefroide
  (ad applet avviato) Punti Mobili → a, α

0010365a_V40|580|540|IMA=Geometria analitica del piano, le curve, evoluta della nefroide


Made by Formule Development Team





Argomenti correlati e altri percorsi:


Ipocicloide ed epicicloide
Geometria analitica del piano → le curve, ipoclicloide ed epicicloide
(locale-Formule)

Nefroide come inviluppo di circonferenze
Geometria analitica del piano → le curve, nefroide come inviluppo di circonferenze
(locale-Formule)

 

Nefroide come inviluppo di circonferenze
Costruzioni geometriche → altro, nefroide come inviluppo di circonferenze

(locale-Formule)

Nefroide/Nephroid
Gallery, Animazioni matematiche-Curve/Mathematical animations-Curves, Nefroide/Nephroid
(locale-Formule)

 




  Metti la scheda negli appunti    Click per visualizzare il blocco appunti Visualizza appunti    Click x svuotare blocco appunti Azzera appunti



UTILITY
FormuLe-MATEMATICALC

TROVA FORMULE

UTILITY
FormuLe-FISICALC


TROVA FORMULE

UTILITY
FormuLe-STATISTICALC

UTILITY
Formule-MATFINCALC

UTILITY
Formule-Software download

ARGOMENTI
Matematica

Frattali di Mandelbrot
Benoit Mandelbrot e la Geometria Frattale. Introduzione e immagini.

Statistica e giochi

Lotto e superEnalotto
Una sintetica comparazione statistica e finanziaria dei due giochi.

Ultimo aggiornamento - Last update:  17/11/2025
Privacy and cookies
© www.gobnf.com 2008-2026 - Tutto il materiale contenuto nel sito PUO' essere liberamente usato per scopi personali (studio, creazione di relazioni e tesine etc). Non e' consentito qualsiasi altro tipo di utilizzo o riproduzione. - The entire content of this site may be freely used ONLY for personal purposes (study, creation of reports etc.). It is not allowed any other use or reproduction.