Mappa del sito
Indice degli aggiornamenti  17/11/25
Metti formule tra i preferiti
Contattaci
Segnalaci ad un amico

Formule e argomenti di matematica, fisica e scienze
Albert Einstein: ... la nostra conoscenza, se paragonata alla realta' e' primitiva e infantile. Eppure e' il bene piu' grande che possediamo.
... all our science, measured against reality, is primitive and childlike-and yet it is the most precious thing we have.



Versione stampabile della scheda visualizzata sotto

Seguici in Facebook    Seguici in Pinterest

Matematica : Geometria analitica del piano → Le curve

Ipocicloide ed epicicloide


L'Epicicloide e' una curva ottenuta dal percorso descritto da un punto fisso su una circonferenza che rotola ESTERNAMENTE (senza slittare o strisciare) su un'altra circonferenza fissa.

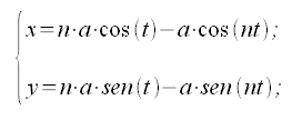
___ EQUAZIONE CARTESIANA PARAMETRICA EPOCICLOIDE

Geometria analitica del piano, curve, epicicloide, equazione parametrica, equazione parametrica cartesiana, coordinate cartesiane


L'Ipocicloide e' una curva ottenuta dal percorso descritto da un punto fisso su una circonferenza che rotola INTERNAMENTE (senza slittare o strisciare) su un'altra circonferenza fissa.

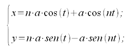
___ EQUAZIONE CARTESIANA PARAMETRICA IPOCICLOIDE

Geometria analitica del piano, curve, ipocicloidi, equazione parametrica, equazione parametrica cartesiana, coordinate cartesiane


: IMMAGINE/APPLET : VERIFICA LE FORMULE : Le curve, Ipocicloide (I) ed Epicicloide (E)
  (ad applet avviato) Punti Mobili → a, n, α

0010364_V40|580|553|IMA=Geometria analitica del piano, le curve, ipocicloide ed epicicloide


Made by Formule Development Team





Argomenti correlati e altri percorsi:


Cardioide
Geometria analitica del piano → le curve, cardioide
(locale-Formule)

Nefroide
Geometria analitica del piano → le curve, nefroide
(locale-Formule)

 

Deltoide
Geometria analitica del piano → le curve, deltoide
(locale-Formule)

Asteroide
Geometria analitica del piano → le curve, asteroide
(locale-Formule)

 




  Metti la scheda negli appunti    Click per visualizzare il blocco appunti Visualizza appunti    Click x svuotare blocco appunti Azzera appunti



UTILITY
FormuLe-MATEMATICALC

TROVA FORMULE

UTILITY
FormuLe-FISICALC


TROVA FORMULE

UTILITY
FormuLe-STATISTICALC

UTILITY
Formule-MATFINCALC

UTILITY
Formule-Software download

ARGOMENTI
Matematica

Frattali di Mandelbrot
Benoit Mandelbrot e la Geometria Frattale. Introduzione e immagini.

Statistica e giochi

Lotto e superEnalotto
Una sintetica comparazione statistica e finanziaria dei due giochi.

Ultimo aggiornamento - Last update:  17/11/2025
Privacy and cookies
© www.gobnf.com 2008-2026 - Tutto il materiale contenuto nel sito PUO' essere liberamente usato per scopi personali (studio, creazione di relazioni e tesine etc). Non e' consentito qualsiasi altro tipo di utilizzo o riproduzione. - The entire content of this site may be freely used ONLY for personal purposes (study, creation of reports etc.). It is not allowed any other use or reproduction.