Mappa del sito
Indice degli aggiornamenti  17/11/25
Metti formule tra i preferiti
Contattaci
Segnalaci ad un amico

Formule e argomenti di matematica, fisica e scienze
Albert Einstein: ... la nostra conoscenza, se paragonata alla realta' e' primitiva e infantile. Eppure e' il bene piu' grande che possediamo.
... all our science, measured against reality, is primitive and childlike-and yet it is the most precious thing we have.



Versione stampabile della scheda visualizzata sotto

Seguici in Facebook    Seguici in Pinterest

Matematica : Geometria analitica del piano

Iperbole traslata e ruotata (o rototraslata)

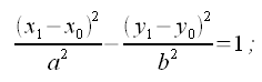
Equazione canonica o normale dell'iperbole riferita agli assi traslati e ruotati



Geometria analitica del piano, equazione iperbole traslata e rotata (o ruotata), iperbole di centro C, equazione in forma canonica o normale

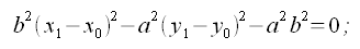
Equazione dell'iperbole traslata e rotata (o ruotata) sotto forma di equazione generale o classica di una conica:



Geometria analitica del piano, equazione iperbole traslata, iperbole di centro C, equazione generale o classica conica



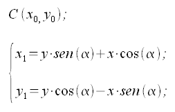
dove i punti ruotati x1 e y1 (noto l'angolo di rotazione α) e le coordinate x0 e y0 del centro C dell'iperbole sono rispettivamente:

Geometria analitica del piano, rotazione, coordinate del centro dell'iperbole




Nota: All'iperbole di colore grigio viene applicata solo la TRASLAZIONE.

: IMMAGINE/APPLET : VERIFICA LE FORMULE : Iperbole traslata e ruotata (o rototraslata)
  (ad applet avviato) Punti Mobili → Punti x0, y0 (Coordinate del centro C dell'iperbole) ed A sulla circonferenza (angolo di rotazione Α)

0010341_V40|580|540|IMA=Geometria analitica del piano, iperbole traslata e ruotata (o rototraslata)


Made by Formule Development Team





Argomenti correlati e altri percorsi:


Iperbole
Geometria analitica del piano, ellisse

(locale-Formule)

Iperbole traslata
Geometria analitica del piano, iperbole traslata
(locale-Formule)

 

Iperbole rotata (o ruotata)
Geometria analitica del piano, iperbole rotata (o ruotata)
(locale-Formule)

 




  Metti la scheda negli appunti    Click per visualizzare il blocco appunti Visualizza appunti    Click x svuotare blocco appunti Azzera appunti



UTILITY
FormuLe-MATEMATICALC

TROVA FORMULE

UTILITY
FormuLe-FISICALC


TROVA FORMULE

UTILITY
FormuLe-STATISTICALC

UTILITY
Formule-MATFINCALC

UTILITY
Formule-Software download

ARGOMENTI
Matematica

Frattali di Mandelbrot
Benoit Mandelbrot e la Geometria Frattale. Introduzione e immagini.

Statistica e giochi

Lotto e superEnalotto
Una sintetica comparazione statistica e finanziaria dei due giochi.

Ultimo aggiornamento - Last update:  17/11/2025
Privacy and cookies
© www.gobnf.com 2008-2026 - Tutto il materiale contenuto nel sito PUO' essere liberamente usato per scopi personali (studio, creazione di relazioni e tesine etc). Non e' consentito qualsiasi altro tipo di utilizzo o riproduzione. - The entire content of this site may be freely used ONLY for personal purposes (study, creation of reports etc.). It is not allowed any other use or reproduction.