Mappa del sito
Indice degli aggiornamenti  17/11/25
Metti formule tra i preferiti
Contattaci
Segnalaci ad un amico

Formule e argomenti di matematica, fisica e scienze
Albert Einstein: ... la nostra conoscenza, se paragonata alla realta' e' primitiva e infantile. Eppure e' il bene piu' grande che possediamo.
... all our science, measured against reality, is primitive and childlike-and yet it is the most precious thing we have.



Versione stampabile della scheda visualizzata sotto

Seguici in Facebook    Seguici in Pinterest

Matematica : Geometria analitica del piano

L'Iperbole

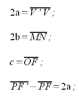
L'Iperbole e' il luogo geometrico P dei punti del piano, con differenza costante delle distanze da 2 punti fissi chiamati fuochi F (PF'-PF=2a (con a = al semiasse trasverso)).


Legenda:
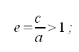
F, F'=Fuochi, P=Luogo geometrico, V, V'=Vertici dell'iperbole, O = Centro dell'iperbole, a = OV = OV' = Semiasse trasverso, 2a = VV' = (PF'-PF) = Asse trasverso/Asse focale, b = VN = VM = Semiasse non trasverso, 2b = MN = Asse non trasverso, c = OF = OF' = Semidistanza focale, 2c = FF' = Distanza focale, e = Eccentricita' dell'iperbole

: IMMAGINE/APPLET : Iperbole
  (ad applet avviato) Punti Mobili → F, P, V

0010058_V40|596|555|IMA=Iperbole




___ EQUAZIONE (canonica o normale)

Geometria analitica del piano, iperbole, equazione canonica o normale

(a=Semiasse trasverso, b=Semiasse non trasverso)




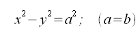
___ EQUAZIONE IPERBOLE EQUILATERA

Geometria analitica del piano, iperbole, equazione iperbole equilatera

(a=Semiasse trasverso, b=Semiasse non trasverso)



___

Geometria analitica del piano, iperbole, asse trasverso, asse non trasverso, semiasse trasverso, semiasse non trasverso, luogo geometrico

(2a=Asse trasverso, 2b=Asse non trasverso, c=Semidistanza focale)




___ UGUAGLIANZA FONDAMENTALE

Geometria analitica del piano, iperbole, uguaglianza fondamentale


___ ECCENTRICITA'

Geometria analitica del piano, iperbole, eccentricita'


___ COORDINATE DEI VERTICI

Geometria analitica del piano, iperbole, coordinate dei vertici



___ COORDINATE DEI FUOCHI

Geometria analitica del piano, iperbole, coordinate dei fuochi



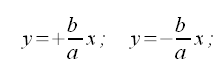
___ ASINTOTI

Geometria analitica del piano, iperbole, asintoti


Made by Formule Development Team





Argomenti correlati e altri percorsi:


Retta tangente per un punto dell'iperbole
Geometria analitica del piano, retta tangente per un punto dell'iperbole
(locale-Formule)

Retta perpendicolare per un punto dell'iperbole
Geometria analitica del piano, retta perpendicolare per un punto dell'iperbole
(locale-Formule)

 

Posizione di un punto P rispetto ad una iperbole
Geometria analitica del piano, posizione di un punto P rispetto ad una iperbole
(locale-Formule)

Iperbole traslata

Geometria analitica del piano, iperbole traslata
(locale-Formule)

 

Iperbole rotata (o ruotata)

Geometria analitica del piano, iperbole rotata (o ruotata)
(locale-Formule)

Iperbole traslata e rotata (o rototraslata)
Geometria analitica del piano, iperbole traslata e ruotata (o rototraslata)
(locale-Formule)

 

Iperbole

Geometria analitica del piano → Le curve, iperbole
(locale-Formule)

Equazione dell'iperbole (noto il centro)
Geometria analitica del piano, equazione dell'iperbole (noto il centro)
(locale-Formule)

 

Proprieta' delle tangenti all'iperbole

Geometria analitica del piano, proprieta' delle tangenti all'iperbole
(locale-Formule)

Iperbole, proprieta' delle corde parallele
Geometria analitica del piano, iperbole proprieta' delle corde parallele
(locale-Formule)

 

Le coniche e l'eccentricita'
Geometria analitica del piano, le coniche e l'eccentricita'
(locale-Formule)

 




  Metti la scheda negli appunti    Click per visualizzare il blocco appunti Visualizza appunti    Click x svuotare blocco appunti Azzera appunti



UTILITY
FormuLe-MATEMATICALC

TROVA FORMULE

UTILITY
FormuLe-FISICALC


TROVA FORMULE

UTILITY
FormuLe-STATISTICALC

UTILITY
Formule-MATFINCALC

UTILITY
Formule-Software download

ARGOMENTI
Matematica

Frattali di Mandelbrot
Benoit Mandelbrot e la Geometria Frattale. Introduzione e immagini.

Statistica e giochi

Lotto e superEnalotto
Una sintetica comparazione statistica e finanziaria dei due giochi.

Ultimo aggiornamento - Last update:  17/11/2025
Privacy and cookies
© www.gobnf.com 2008-2026 - Tutto il materiale contenuto nel sito PUO' essere liberamente usato per scopi personali (studio, creazione di relazioni e tesine etc). Non e' consentito qualsiasi altro tipo di utilizzo o riproduzione. - The entire content of this site may be freely used ONLY for personal purposes (study, creation of reports etc.). It is not allowed any other use or reproduction.