Mappa del sito
Indice degli aggiornamenti  17/11/25
Metti formule tra i preferiti
Contattaci
Segnalaci ad un amico

Formule e argomenti di matematica, fisica e scienze
Albert Einstein: ... la nostra conoscenza, se paragonata alla realta' e' primitiva e infantile. Eppure e' il bene piu' grande che possediamo.
... all our science, measured against reality, is primitive and childlike-and yet it is the most precious thing we have.



Versione stampabile della scheda visualizzata sotto

Seguici in Facebook    Seguici in Pinterest

Matematica : Geometria del piano

Decagono inscritto, circoscritto in/ad una circonferenza

Il decagono e' un poligono di 10 lati e 10 angoli. Il decagono regolare e' un poligono di 10 lati e 10 angoli UGUALI.

Ogni angolo interno, di un decagono regolare, e' = 144 gradi;

Teorema:
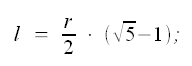
Il lato di un decagono regolare e' uguale alla sezione aurea del raggio della circonferenza circoscritta.
Decagono, lato uguale alla sezione aurea del raggio

Legenda:
S=Superficie, P=Perimetro, l=Lato, r=Raggio del cerchio circoscritto, a=apotema o raggio del cerchio inscritto, nl=Numero lati del poligono.


Decagono, superficie, perimetro, raggio, apotema, poligoni regolari inscritti e circoscritti


Made by Formule Development Team





Argomenti correlati e altri percorsi:


Poligoni inscritti e circoscritti

Geometria del piano, poligoni inscritti e circoscritti

(locale-Formule)

Condizioni di inscrittibilita' dei poligoni in un cerchio
Geometria del piano, condizioni di inscrittibilita' dei poligoni in una circonferenza
(locale-Formule)

 

Condizioni di circoscrittibilita' dei poligoni in un cerchio
Geometria del piano, condizioni di circoscrittibilita' dei poligoni in una circonferenza
(locale-Formule)

Poligoni regolari inscritti in un cerchio
Trigonometria, poligoni regolari inscritti in una circonferenza

(locale-Formule)

 

Poligoni regolari circoscritti in un cerchio
Trigonometria, poligoni regolari circoscritti in una circonferenza
(locale-Formule)

Poligono regolare

Geometria del piano, poligono regolare

(locale-Formule)

 

Poligono regolare e numeri fissi

Geometria del piano, poligono regolare e numeri fissi
(locale-Formule)

Circoscrivere un decagono regolare ad una circonferenza
Costruzioni geometriche, circoscrivere un decagono regolare ad una circonferenza
(locale-Formule)

 

Circonferenza inscritta in un decagono regolare
Costruzioni geometriche, circonferenza inscritta in un decagono regolare
(locale-Formule)

 




  Metti la scheda negli appunti    Click per visualizzare il blocco appunti Visualizza appunti    Click x svuotare blocco appunti Azzera appunti



UTILITY
FormuLe-MATEMATICALC

TROVA FORMULE

UTILITY
FormuLe-FISICALC


TROVA FORMULE

UTILITY
FormuLe-STATISTICALC

UTILITY
Formule-MATFINCALC

UTILITY
Formule-Software download

ARGOMENTI
Matematica

Frattali di Mandelbrot
Benoit Mandelbrot e la Geometria Frattale. Introduzione e immagini.

Statistica e giochi

Lotto e superEnalotto
Una sintetica comparazione statistica e finanziaria dei due giochi.

Ultimo aggiornamento - Last update:  17/11/2025
Privacy and cookies
© www.gobnf.com 2008-2026 - Tutto il materiale contenuto nel sito PUO' essere liberamente usato per scopi personali (studio, creazione di relazioni e tesine etc). Non e' consentito qualsiasi altro tipo di utilizzo o riproduzione. - The entire content of this site may be freely used ONLY for personal purposes (study, creation of reports etc.). It is not allowed any other use or reproduction.