Mappa del sito
Indice degli aggiornamenti  17/11/25
Metti formule tra i preferiti
Contattaci
Segnalaci ad un amico

Formule e argomenti di matematica, fisica e scienze
Albert Einstein: ... la nostra conoscenza, se paragonata alla realta' e' primitiva e infantile. Eppure e' il bene piu' grande che possediamo.
... all our science, measured against reality, is primitive and childlike-and yet it is the most precious thing we have.



Versione stampabile della scheda visualizzata sotto

Seguici in Facebook    Seguici in Pinterest

Matematica : Trigonometria

Poligoni regolari inscritti in una circonferenza

Un poligono si dice inscritto in una circonferenza o nel cerchio quando i vertici del poligono stanno sulla circonferenza. La circonferenza si dice circoscritta al poligono.

Ogni poligono regolare si puo' circoscrivere ed inscrivere ad/in una circonferenza. Le circonferenze (inscritta e circoscritta) hanno lo stesso centro.

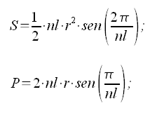
Legenda:
S(ABCDE), S = Superficie del poligono, P(ABCDE), P = Perimetro del poligono, nl = Numero dei lati, r = Raggio

Trigonometria, poligono regolare inscritto: area e perimetro

: IMMAGINE/APPLET : VERIFICA LE FORMULE : Poligoni regolari inscritti in una circonferenza
  (ad applet avviato) Punti Mobili → A, B

0010123_V40|580|550|IMA=Trigonometria, Poligoni regolari inscritti in una circonferenza


Made by Formule Development Team





Argomenti correlati e altri percorsi:


Poligoni inscritti e circoscritti

Geometria del piano: Poligoni inscritti e circoscritti

(locale-Formule)

Condizioni di inscrittibilita' dei poligoni in un cerchio
Geometria del piano: Condizioni di inscrittibilita' dei poligoni in una circonferenza
(locale-Formule)

 




  Metti la scheda negli appunti    Click per visualizzare il blocco appunti Visualizza appunti    Click x svuotare blocco appunti Azzera appunti



UTILITY
FormuLe-MATEMATICALC

TROVA FORMULE

UTILITY
FormuLe-FISICALC


TROVA FORMULE

UTILITY
FormuLe-STATISTICALC

UTILITY
Formule-MATFINCALC

UTILITY
Formule-Software download

ARGOMENTI
Matematica

Frattali di Mandelbrot
Benoit Mandelbrot e la Geometria Frattale. Introduzione e immagini.

Statistica e giochi

Lotto e superEnalotto
Una sintetica comparazione statistica e finanziaria dei due giochi.

Ultimo aggiornamento - Last update:  17/11/2025
Privacy and cookies
© www.gobnf.com 2008-2026 - Tutto il materiale contenuto nel sito PUO' essere liberamente usato per scopi personali (studio, creazione di relazioni e tesine etc). Non e' consentito qualsiasi altro tipo di utilizzo o riproduzione. - The entire content of this site may be freely used ONLY for personal purposes (study, creation of reports etc.). It is not allowed any other use or reproduction.