Mappa del sito
Indice degli aggiornamenti  17/11/25
Metti formule tra i preferiti
Contattaci
Segnalaci ad un amico

Formule e argomenti di matematica, fisica e scienze
Albert Einstein: ... la nostra conoscenza, se paragonata alla realta' e' primitiva e infantile. Eppure e' il bene piu' grande che possediamo.
... all our science, measured against reality, is primitive and childlike-and yet it is the most precious thing we have.



Versione stampabile della scheda visualizzata sotto

Seguici in Facebook    Seguici in Pinterest

Matematica : Trigonometria

Relazioni in un triangolo qualsiasi


Trigonometria, triangolo qualsiasi




_____ TEOREMA DEI SENI (di Eulero)

In un triangolo qualsiasi, le misure dei lati sono proporzionali ai seni degli angoli opposti.

Trigonometria, teorema dei seni o di Eulero


_____ TEOREMA DEL COSENO (di Carnot)

In un triangolo qualsiasi, la misura di ogni lato al quadrato e' uguale alla somma dei quadrati delle misure degli altri due lati meno il doppio prodotto delle misure dei due lati per il coseno dell'angolo fra essi compreso.

Trigonometria, teorema del coseno o di Carnot


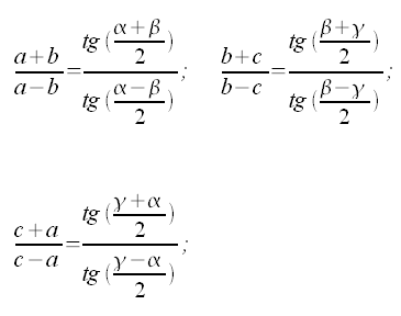
_____ TEOREMA DELLE TANGENTI (di Nepero)

In un triangolo qualsiasi, la somma della misura di due lati sta alla loro differenza, come la tangente della semisomma degli angoli opposti sta alla tangente della semidifferenza degli stessi angoli.

Trigonometria, teorema delle tangenti o di Nepero


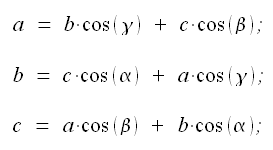
_____ TEOREMA DELLE PROIEZIONI

In un triangolo qualsiasi, la misura di ogni lato e' uguale alla somma dei prodotti degli altri due lati per i coseni degli angoli rispettivamente compresi fra il lato cercato e gli altri due.


Trigonometria, teorema delle proiezioni


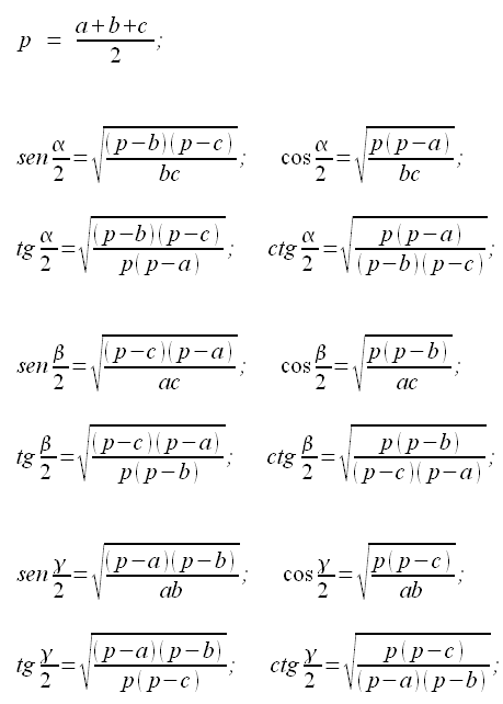
_____ FORMULE DI BRIGGS



Trigonometria, formule di Briggs


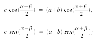
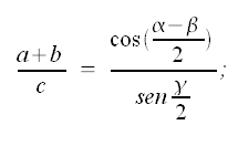
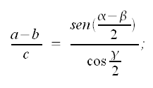
_____ TEOREMI DI DELAMBRE (formule o equazioni di MOLLWEIDE)

I. In un triangolo qualsiasi, il rapporto fra la somma delle misure di due lati e la misura del terzo lato e uguale al rapporto fra il coseno della semidifferenza degli angoli opposti ai due lati ed il seno della meta' dell'angolo apposto al terzo lato.


Trigonometria, teorema di Delambre, formule o equazioni di Mollweide

II. In un triangolo qualsiasi, il rapporto fra la differenza delle misure di due lati e la misura del terzo lato e uguale al rapporto fra il seno della semidifferenza degli angoli opposti ai due lati ed il coseno della meta' dell'angolo apposto al terzo lato.


Trigonometria, teorema di Delambre, formule o equazioni di Mollweide


_____ FORMULE DI GAUSS

Le fomule di Gauss sono le formule di Delambre scritte in altra forma.


Trigonometria, formule di Gauss

Made by Formule Development Team





Argomenti correlati e altri percorsi:


Teorema della corda
Trigonometria, teorema della corda

(locale-Formule)

Relazioni in un triangolo rettangolo
Trigonometria, Relazioni in un triangolo rettangolo
(locale-Formule)

 




  Metti la scheda negli appunti    Click per visualizzare il blocco appunti Visualizza appunti    Click x svuotare blocco appunti Azzera appunti



UTILITY
FormuLe-MATEMATICALC

TROVA FORMULE

UTILITY
FormuLe-FISICALC


TROVA FORMULE

UTILITY
FormuLe-STATISTICALC

UTILITY
Formule-MATFINCALC

UTILITY
Formule-Software download

ARGOMENTI
Matematica

Frattali di Mandelbrot
Benoit Mandelbrot e la Geometria Frattale. Introduzione e immagini.

Statistica e giochi

Lotto e superEnalotto
Una sintetica comparazione statistica e finanziaria dei due giochi.

Ultimo aggiornamento - Last update:  17/11/2025
Privacy and cookies
© www.gobnf.com 2008-2026 - Tutto il materiale contenuto nel sito PUO' essere liberamente usato per scopi personali (studio, creazione di relazioni e tesine etc). Non e' consentito qualsiasi altro tipo di utilizzo o riproduzione. - The entire content of this site may be freely used ONLY for personal purposes (study, creation of reports etc.). It is not allowed any other use or reproduction.