Mappa del sito
Indice degli aggiornamenti  17/11/25
Metti formule tra i preferiti
Contattaci
Segnalaci ad un amico

Formule e argomenti di matematica, fisica e scienze
Albert Einstein: ... la nostra conoscenza, se paragonata alla realta' e' primitiva e infantile. Eppure e' il bene piu' grande che possediamo.
... all our science, measured against reality, is primitive and childlike-and yet it is the most precious thing we have.



Versione stampabile della scheda visualizzata sotto

Seguici in Facebook    Seguici in Pinterest

Matematica : Trigonometria

Teorema della corda


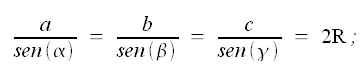
Teorema fondamentale:
La misura del diametro (2R) della circonferenza circoscritta ad un triangolo qualunque, e' uguale al rapporto fra la misura di un lato del triangolo e il seno dell'angolo opposto ad esso.

Trigonometria, Triangolo circoscritto
Trigonometria, misura del diametro


Corollario:
La misura del lato di un triangolo qualunque inscritto in una circonferenza e' uguale alla misura del diametro (2R) per il seno dell'angolo opposto al lato.

Trigonometria, Triangolo circoscritto

Trigonometria, misura del lato


Corollario (o teorema della corda):
La misura di una qualsiasi corda, in una circonferenza, e' uguale alla misura del diametro (2R) per il seno dell'angolo alla circonferenza (α) che insiste sull'arco sotteso alla corda. Trigonometria, Triangolo circoscritto

Trigonometria, corda, diametro e angolo alla circonferenza


Corollario (o teorema della corda):
La misura di una qualsiasi corda, in una circonferenza, e' uguale alla misura del diametro (2R) per il seno della meta' dell'angolo al centro (α) che insiste sull'arco sotteso alla corda.
Trigonometria, angolo al centro

Trigonometria, corda, diametro e angolo al centro

Made by Formule Development Team





Argomenti correlati e altri percorsi:


Relazioni in un triangolo qualsiasi
Trigonometria, Relazioni in un triangolo qualsiasi
(locale-Formule)

 




  Metti la scheda negli appunti    Click per visualizzare il blocco appunti Visualizza appunti    Click x svuotare blocco appunti Azzera appunti



UTILITY
FormuLe-MATEMATICALC

TROVA FORMULE

UTILITY
FormuLe-FISICALC


TROVA FORMULE

UTILITY
FormuLe-STATISTICALC

UTILITY
Formule-MATFINCALC

UTILITY
Formule-Software download

ARGOMENTI
Matematica

Frattali di Mandelbrot
Benoit Mandelbrot e la Geometria Frattale. Introduzione e immagini.

Statistica e giochi

Lotto e superEnalotto
Una sintetica comparazione statistica e finanziaria dei due giochi.

Ultimo aggiornamento - Last update:  17/11/2025
Privacy and cookies
© www.gobnf.com 2008-2026 - Tutto il materiale contenuto nel sito PUO' essere liberamente usato per scopi personali (studio, creazione di relazioni e tesine etc). Non e' consentito qualsiasi altro tipo di utilizzo o riproduzione. - The entire content of this site may be freely used ONLY for personal purposes (study, creation of reports etc.). It is not allowed any other use or reproduction.