Coefficiente angolare della perpendicolare ad una retta
♦ Testo dell'esercizio ♦
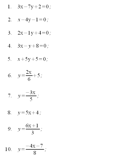
Calcolare il coefficiente angolare delle rette perpendicolari alle seguenti rette:
♦ Metodo risolutivo ♦
Ricordiamo:
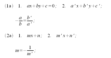
l'equazione generale o canonica della retta in forma implicita e relativo coefficiente angolare (m):
l'equazione generale o canonica della retta in forma esplicita e relativo coefficiente angolare (m):
le condizioni di perpendicolarita' di due rette con equazione canonica in forma implicita (1a) ed esplicita (2a):
♦ Soluzione ♦
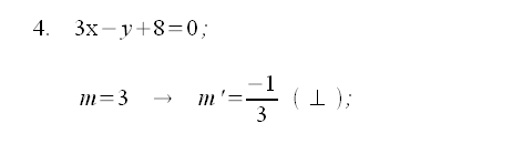
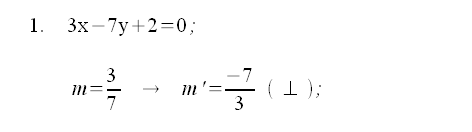
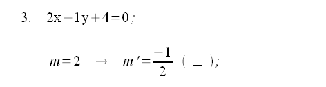
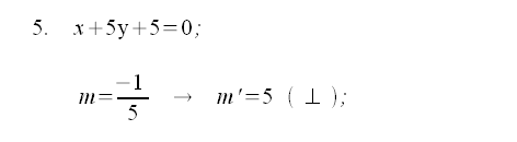
♦ I coefficienti angolari (m) per le equazioni da 1 a 5 (equazioni in forma implicita) sono calcolati in riferimento alla (1) e cioe': i coefficienti angolari delle rette 1-5 sono uguali al primo coefficiente (coefficiente della x) cambiato di segno fratto il secondo coefficiente (coefficiente della y).
♦ I coefficienti angolari (m') delle rette perpendicolari alle rette date, sono calcolati in riferimento alle condizioni di perpendicolarita' (1a):
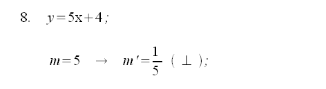
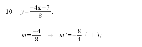
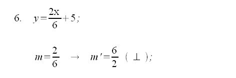
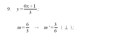
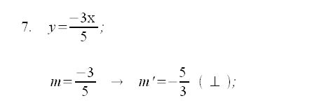
♦ I coefficienti angolari (m) per le equazioni da 6 a 10 (equazioni in forma esplicita) sono calcolati in riferimento alla (2) e cioe': i coefficienti angolari delle rette da 6-10 sono uguali al primo coefficiente (coefficiente della x).
♦ I coefficienti angolari (m') delle rette perpendicolari alle rette date, sono calcolati in riferimento alle condizioni di perpendicolarita (2a):
Metti la scheda negli appuntiVisualizza appuntiAzzera appunti