Torna a Formule Esercizi, metodologia e svolgimento

Galleria frattali/Fractals gallery by Formule BNF

Versione stampabile della scheda visualizzata sotto

Matematica: Geometria analitica del piano

Coordinate del punto di intersezione di due rette (metodo di sostituzione)


 ♦ Testo dell'esercizio ♦ 

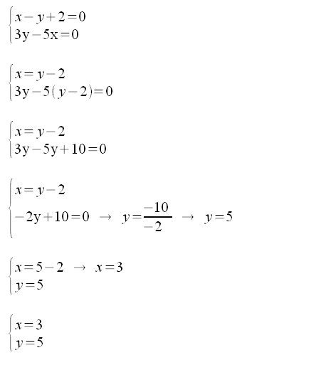
Trovare le coordinate del punto di intersezione P delle rette:

Esercizi, equazioni delle rette


 ♦ Abbiamo 2 equazioni e 2 incognite (x, y). Ricaviamo i valori di x e y mettendo a sistema le due equazioni.


Esercizi, Sistema di primo grado


 ♦ Risolviamo il sistema con il metodo di sostituzione.


Esercizi, risoluzione del sistema, metodo di sostituzione


 ♦ Soluzione ♦ 
  Esercizio, coodinate punto di intersezione delle rette s e r




: IMMAGINE/APPLET : VERIFICA LE FORMULE : Esercizi, Coordinate del punto di intersezione di due rette

EV0010004_V40|604|400|IMA=Geometria analitica del piano, esercizi, coordinate del punto di intersezione di due rette


Made by Formule Development Team





  Metti la scheda negli appunti    Click per visualizzare il blocco appunti Visualizza appunti    Click x svuotare blocco appunti Azzera appunti



Seguici in Facebook     Seguici in Pinterest  


Argomenti correlati e altri percorsi:


La retta
Geometria analitica del piano, la retta
(locale-Formule)

 


UTILITY
FormuLe-MATEMATICALC


  Numeri primi

  Scomposizione fattori primi

  Convert.basi numeriche

  Min.comune mult. e m.c.d.

  Mass.comune div. (M.C.D.)

TROVA FORMULE


  Geometria solida

  Geometria del piano


UTILITY
FormuLe-FISICALC


TROVA FORMULE


  Forze Moto Energia

  Caduta dei gravi

  Piano inclinato


UTILITY
FormuLe-STATISTICALC


  Permutazioni

  Disposizioni

  Combinazioni


UTILITY
FormuLe-MATFINCALC


  Calc.rata e Ammort.mutuo






© www.gobnf.com 2008-2026 - Tutto il materiale contenuto nel sito PUO' essere liberamente usato per scopi personali (studio, creazione di relazioni e tesine etc). Non e' consentito qualsiasi altro tipo di utilizzo o riproduzione. Last Upd.31/08/2025
Privacy e cookie