Matematica: Geometria analitica del piano
Bisettrici degli angoli formati da due rette
♦ Testo dell'esercizio ♦
Trovare le equazioni delle bisettrici degli angoli formati dalle rette r e s di equazione:
♦ Metodo risolutivo ♦
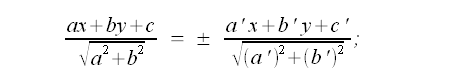
Iniziamo ricordando la formula (1) che ci permette di trovare le equazioni delle bisettrici degli angoli formati da due rette:
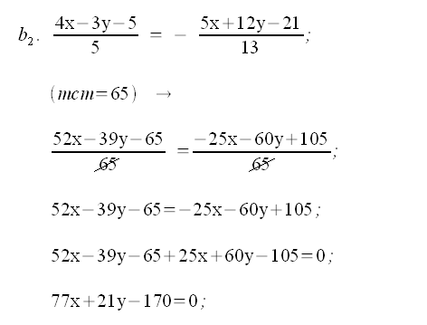
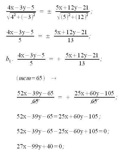
♦ Sostituiamo le equazioni delle rette s e r e i coefficienti a e b nella (1) e svolgiamo i calcoli:
♦ Soluzione ♦

Scomposizione in fattori primi

Minimo comune multiplo e m.c.d.
: IMMAGINE/APPLET : VERIFICA LE FORMULE : Esercizi, Bisettrici degli angoli formati da due rette
EV0010003_V40|604|400|IMA=Geometria analitica del piano, esercizi, bisettrici degli angoli formati da due rette
