Torna a Formule Esercizi, metodologia e svolgimento

Galleria frattali/Fractals gallery by Formule BNF

Versione stampabile della scheda visualizzata sotto

Matematica: Geometria analitica del piano

Retta passante per due punti


 ♦ Testo dell'esercizio ♦ 

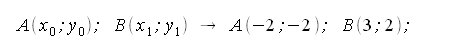
Trovare l'equazione della retta passante per i punti:

Esercizi, 2 punti


 ♦ Metodo risolutivo ♦ 

Ricordiamo l'equazione generale o canonica della retta (1) (equazione che ritroveremo ad esercizio svolto con i valori dei coefficienti a, b e del termine noto c):

Esercizi, equazione generale della retta



Iniziamo considerando la formula (2) che ci permette di trovare la retta passante per due punti:


Esercizi, formula retta passante per 2 punti


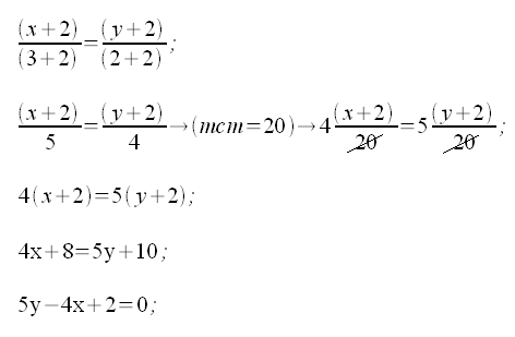
 ♦ Sostituiamo le coordinate dei punti A e B alla (2) e svolgiamo i calcoli:


Esercizi, calcoli per la ricerca dell'equazione richiesta


 ♦ Soluzione ♦ 
  Esercizio, equazione della retta passante per i punti A, B



MATEMATICALC by Formule - Scomposizione in fattori primi

Scomposizione in fattori primi



MATEMATICALC by Formule - Minimo comune multiplo e m.c.d.

Minimo comune multiplo e m.c.d.


: IMMAGINE/APPLET : VERIFICA LE FORMULE : Esercizi, retta passante per due punti

EV0010002_V40|604|400|IMA=Geometria analitica del piano, esercizi, retta passante per due punti


Made by Formule Development Team





  Metti la scheda negli appunti    Click per visualizzare il blocco appunti Visualizza appunti    Click x svuotare blocco appunti Azzera appunti



Seguici in Facebook     Seguici in Pinterest  


Argomenti correlati e altri percorsi:


La retta
Geometria analitica del piano, la retta

(locale-Formule)

Minimo comune multiplo (m.c.m.)
Elementi di aritmetica, minimo comune multiplo (m.c.m.)
(locale-Formule)

 


UTILITY
FormuLe-MATEMATICALC


  Numeri primi

  Scomposizione fattori primi

  Convert.basi numeriche

  Min.comune mult. e m.c.d.

  Mass.comune div. (M.C.D.)

TROVA FORMULE


  Geometria solida

  Geometria del piano


UTILITY
FormuLe-FISICALC


TROVA FORMULE


  Forze Moto Energia

  Caduta dei gravi

  Piano inclinato


UTILITY
FormuLe-STATISTICALC


  Permutazioni

  Disposizioni

  Combinazioni


UTILITY
FormuLe-MATFINCALC


  Calc.rata e Ammort.mutuo






© www.gobnf.com 2008-2026 - Tutto il materiale contenuto nel sito PUO' essere liberamente usato per scopi personali (studio, creazione di relazioni e tesine etc). Non e' consentito qualsiasi altro tipo di utilizzo o riproduzione. Last Upd.31/08/2025
Privacy e cookie