Mappa del sito
Indice degli aggiornamenti  17/11/25
Metti formule tra i preferiti
Contattaci
Segnalaci ad un amico

Formule e argomenti di matematica, fisica e scienze
Albert Einstein: ... la nostra conoscenza, se paragonata alla realta' e' primitiva e infantile. Eppure e' il bene piu' grande che possediamo.
... all our science, measured against reality, is primitive and childlike-and yet it is the most precious thing we have.



Versione stampabile della scheda visualizzata sotto

Seguici in Facebook    Seguici in Pinterest

Mathematics : Plane Analytical Geometry

Straight line

Theorem 1:
Any equation of the first degree in two variables (x, y), on a two dimensional plane, represents a straight line.

Theorem 2:
Any straight line on a given coordinate plane, can be described by an equation of the first degree in two variables (x, y) (*).

(*) The meaning is not ONE EQUATION ! We can have infinite equations changing k, (k ≠ 0) in kax + kby + kc = 0 (general equation of a straight line).


Symbols:
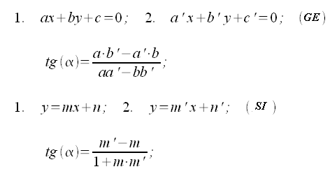
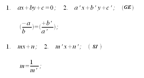
(SI)=Slope Y-Intercept equation, (GE)=General equation, (Sl)=Slope


_______ EQUATION AND SLOPE


Straight line equation and slope


___ Slope (given two points (P1, P2))

Slope , given p1 and p2



_______ SOME SPECIAL STRAIGHT LINES


___ Line passing through origin

Equation of line passing through origin

___ Equation of the Bisector of I and III quadrant

Bisector of I and III quadrant

___ Equation of the Bisector of II and IV quadrant

Bisector of II and IV quadrant

___ Line parallel to x-axis (1), y-axis (2)

Line parallel to x/y axis

___ Equation of x-axis (1), y-axis (2)

Equation of x-axis and y-axis

___ Line passing through one point: P(x0; y0)

Line through one point

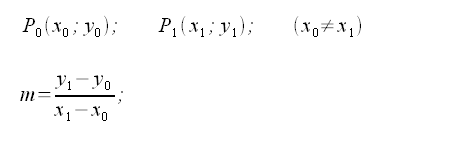
___ Line passing through two points: P0(x0; y0), P1(x1; y1)

Line through two points


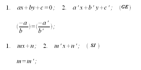
_______ CONDITION FOR TWO LINES TO BE PARALLEL


Parallel lines


_______ CONDITION FOR TWO LINES TO BE PERPENDICULAR


Perpendicular lines'


_______ FAMILY OF STRAIGHT LINE


___ PARALLEL FAMILY (k=changes; m=costant)
Family of straight lines




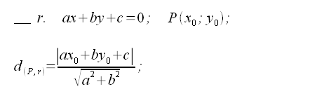
_______ DISTANCE FROM A POINT (P) TO A LINE (r)


Point to line distance

_______ ANGLE (α) BETWEEN TWO LINES


Angle between two lines


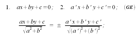
_______ BISECTORS OF THE ANGLES BETWEEN TWO LINES


Angle between two lines, bisectors

Made by Formule Development Team








  Metti la scheda negli appunti    Click per visualizzare il blocco appunti Visualizza appunti    Click x svuotare blocco appunti Azzera appunti



UTILITY
FormuLe-MATEMATICALC

TROVA FORMULE

UTILITY
FormuLe-FISICALC


TROVA FORMULE

UTILITY
FormuLe-STATISTICALC

UTILITY
Formule-MATFINCALC

UTILITY
Formule-Software download

ARGOMENTI
Matematica

Frattali di Mandelbrot
Benoit Mandelbrot e la Geometria Frattale. Introduzione e immagini.

Statistica e giochi

Lotto e superEnalotto
Una sintetica comparazione statistica e finanziaria dei due giochi.

Ultimo aggiornamento - Last update:  17/11/2025
Privacy and cookies
© www.gobnf.com 2008-2026 - Tutto il materiale contenuto nel sito PUO' essere liberamente usato per scopi personali (studio, creazione di relazioni e tesine etc). Non e' consentito qualsiasi altro tipo di utilizzo o riproduzione. - The entire content of this site may be freely used ONLY for personal purposes (study, creation of reports etc.). It is not allowed any other use or reproduction.