Mappa del sito
Indice degli aggiornamenti  17/11/25
Metti formule tra i preferiti
Contattaci
Segnalaci ad un amico

Formule e argomenti di matematica, fisica e scienze
Albert Einstein: ... la nostra conoscenza, se paragonata alla realta' e' primitiva e infantile. Eppure e' il bene piu' grande che possediamo.
... all our science, measured against reality, is primitive and childlike-and yet it is the most precious thing we have.



Versione stampabile della scheda visualizzata sotto

Seguici in Facebook    Seguici in Pinterest

Statistica : Misure di posizione o tendenza centrale

Media geometrica


MEDIA GEOMETRICA SEMPLICE

Legenda:
xi = Osservazioni (dati) (con x_i ≠ 0), n = Ampiezza del campione (o numero dei casi osservati)


Statistica, misure di posizione o tendenza centrale, media geometrica semplice

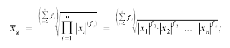
MEDIA GEOMETRICA PONDERATA

Legenda:
xi = Osservazioni in classi o valore medio dell'intervallo della classe (dati) (con x_i ≠ 0), fi = Frequenze delle classi, n = Numero di classi


Statistica, misure di posizione o tendenza centrale, media geometrica ponderata




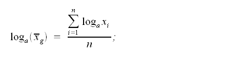
♦ Importante proprieta' ♦

Il logaritmo della media geometrica (semplice o ponderata) e' uguale alla media aritmetica (semplice o ponderata) dei logaritmi dei dati.



es. per la media geometrica semplice risulta che:

Statistica, misure di posizione o tendenza centrale, proprieta' del logaritmo della media geometrica

Made by Formule Development Team








  Metti la scheda negli appunti    Click per visualizzare il blocco appunti Visualizza appunti    Click x svuotare blocco appunti Azzera appunti



UTILITY
FormuLe-MATEMATICALC

TROVA FORMULE

UTILITY
FormuLe-FISICALC


TROVA FORMULE

UTILITY
FormuLe-STATISTICALC

UTILITY
Formule-MATFINCALC

UTILITY
Formule-Software download

ARGOMENTI
Matematica

Frattali di Mandelbrot
Benoit Mandelbrot e la Geometria Frattale. Introduzione e immagini.

Statistica e giochi

Lotto e superEnalotto
Una sintetica comparazione statistica e finanziaria dei due giochi.

Ultimo aggiornamento - Last update:  17/11/2025
Privacy and cookies
© www.gobnf.com 2008-2026 - Tutto il materiale contenuto nel sito PUO' essere liberamente usato per scopi personali (studio, creazione di relazioni e tesine etc). Non e' consentito qualsiasi altro tipo di utilizzo o riproduzione. - The entire content of this site may be freely used ONLY for personal purposes (study, creation of reports etc.). It is not allowed any other use or reproduction.