Mappa del sito
Indice degli aggiornamenti  17/11/25
Metti formule tra i preferiti
Contattaci
Segnalaci ad un amico

Formule e argomenti di matematica, fisica e scienze
Albert Einstein: ... la nostra conoscenza, se paragonata alla realta' e' primitiva e infantile. Eppure e' il bene piu' grande che possediamo.
... all our science, measured against reality, is primitive and childlike-and yet it is the most precious thing we have.



Versione stampabile della scheda visualizzata sotto

Seguici in Facebook    Seguici in Pinterest

Fisica : Cinematica

Moto di un proiettile


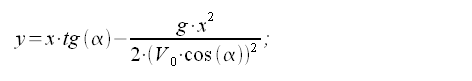
Trascurando agenti esterni come l'attrito dell'aria e fattori di disturbo di natura ventosa, la traiettoria di moto di un proiettile, sparato con un angolo di uscita α e uscente con una velocita' iniziale V0 e' una parabola. La posizione del proiettile all'istante t e' definita dalle due equazioni:


Fisica, Cinematica, Moto di un proiettile, equazioni all'istante T


Risolvendo la prima rispetto a t e sostituendo nella seconda.


Fisica, cinematica, Moto di un proiettile, soluzione delle equazioni


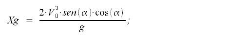
La gittata (lo spazio tra l'uscita e il punto di caduta) e' il punto in cui Y=0, quindi:


Fisica, Cinematica, Moto di un proiettile, gittata


Il punto di massima altezza e' il vertice della parabola. Cioe'
Fisica, Cinematica, Moto di un proiettile, Altezza massima, vertice della parabola




: IMMAGINE/APPLET : VERIFICA LE FORMULE : Moto di un proiettile
  (ad applet avviato) Punti Mobili → Angolo, V0, Y

0020008_V32|580|500|IMA=Cinematica, Moto di un proiettile


Made by Formule Development Team








  Metti la scheda negli appunti    Click per visualizzare il blocco appunti Visualizza appunti    Click x svuotare blocco appunti Azzera appunti



UTILITY
FormuLe-MATEMATICALC

TROVA FORMULE

UTILITY
FormuLe-FISICALC


TROVA FORMULE

UTILITY
FormuLe-STATISTICALC

UTILITY
Formule-MATFINCALC

UTILITY
Formule-Software download

ARGOMENTI
Matematica

Frattali di Mandelbrot
Benoit Mandelbrot e la Geometria Frattale. Introduzione e immagini.

Statistica e giochi

Lotto e superEnalotto
Una sintetica comparazione statistica e finanziaria dei due giochi.

Ultimo aggiornamento - Last update:  17/11/2025
Privacy and cookies
© www.gobnf.com 2008-2026 - Tutto il materiale contenuto nel sito PUO' essere liberamente usato per scopi personali (studio, creazione di relazioni e tesine etc). Non e' consentito qualsiasi altro tipo di utilizzo o riproduzione. - The entire content of this site may be freely used ONLY for personal purposes (study, creation of reports etc.). It is not allowed any other use or reproduction.