Mappa del sito
Indice degli aggiornamenti  17/11/25
Metti formule tra i preferiti
Contattaci
Segnalaci ad un amico

Formule e argomenti di matematica, fisica e scienze
Albert Einstein: ... la nostra conoscenza, se paragonata alla realta' e' primitiva e infantile. Eppure e' il bene piu' grande che possediamo.
... all our science, measured against reality, is primitive and childlike-and yet it is the most precious thing we have.



Versione stampabile della scheda visualizzata sotto

Seguici in Facebook    Seguici in Pinterest

Matematica : Successioni numeriche

Successione di fibonacci

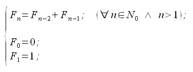
La successione di Fibonacci Fn o Fib(n), e' una successione di numeri interi positivi dove per definizione, i primi due termini sono F0=0 e F1=1 ed i successivi termini Fn (con n>1) sono calcolati sommando i due termini che li precedono

Successioni numeriche, Successione di Fibonacci, Formula



Tabella dei primi 50 numeri (termini) della successione di Fibonacci

TABELLA DEI PRIMI 50 TERMINI DELLA SUCCESSIONE DI FIBONACCI

01-05

1

1

2

3

5

06-10

8

13

21

34

55

11-15

89

144

233

377

610

16-20

987

1597

2584

4181

6765

21-25

10946

17711

28657

46368

75025

26-30

121393

196418

317811

514229

832040

31-35

1346269

2178309

3524578

5702887

9227465

36-40

14930352

24157817

39088169

63245986

102334155

41-45

165580141

267914296

433494437

701408733

1134903170

46-50

1836311903

2971215073

4807526976

7778742049

12586269025




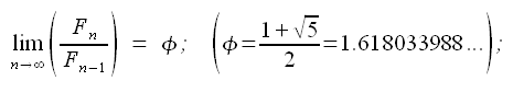
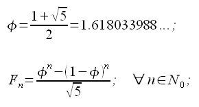
♦ Numeri di Fibonacci mediante la Formula di Binet
Legenda:  φ = Numero aureo o costante di Fidia

Successioni numeriche, Successione di Fibonacci, Formula di Binet

 MATEMATICALC - Numeri di Fibonacci

Utility per il calcolo dei numeri di Fibonacci mediante la formula di Binet. Inserisci l'indice n e premi il pulsante [Avvia]. In Fib(n) il risultato (n-esimo numero di Fibonacci).







♦ PROPRIETA' DELLA SUCCESSIONE DI FIBONACCI
Il limite del rapporto, fra un termine della successione Fn ed il termine precedente Fn-1, per n che tende all'infinito, tende al numero φ (Numero aureo o costante di Fidia)

Successioni numeriche, Limite, Phi, Proprieta della successione di Fibonacci



Tabella dei rapporti Fn/Fn-1 (1 ≤ n ≤ 50) dei primi 50 numeri (termini) nella successione di Fibonacci

SUCCESSIONE DI FIBONACCI - Fn/Fn-1 (1 ≤ n ≤ 50)

01-05

1,00000000000

1,00000000000

2,00000000000

1,50000000000

1,66666666667

06-10

1,60000000000

1,62500000000

1,61538461538

1,61904761905

1,61764705882

11-15

1,61818181818

1,61797752809

1,61805555556

1,61802575107

1,61803713528

16-20

1,61803278689

1,61803444782

1,61803381340

1,61803405573

1,61803396317

21-25

1,61803399852

1,61803398502

1,61803399018

1,61803398821

1,61803398896

26-30

1,61803398867

1,61803398878

1,61803398874

1,61803398875

1,61803398875

31-35

1,61803398875

1,61803398875

1,61803398875

1,61803398875

1,61803398875

36-40

1,61803398875

1,61803398875

1,61803398875

1,61803398875

1,61803398875

41-45

1,61803398875

1,61803398875

1,61803398875

1,61803398875

1,61803398875

46-50

1,61803398875

1,61803398875

1,61803398875

1,61803398875

1,61803398875



Made by Formule Development Team








  Metti la scheda negli appunti    Click per visualizzare il blocco appunti Visualizza appunti    Click x svuotare blocco appunti Azzera appunti



UTILITY
FormuLe-MATEMATICALC

TROVA FORMULE

UTILITY
FormuLe-FISICALC


TROVA FORMULE

UTILITY
FormuLe-STATISTICALC

UTILITY
Formule-MATFINCALC

UTILITY
Formule-Software download

ARGOMENTI
Matematica

Frattali di Mandelbrot
Benoit Mandelbrot e la Geometria Frattale. Introduzione e immagini.

Statistica e giochi

Lotto e superEnalotto
Una sintetica comparazione statistica e finanziaria dei due giochi.

Ultimo aggiornamento - Last update:  17/11/2025
Privacy and cookies
© www.gobnf.com 2008-2026 - Tutto il materiale contenuto nel sito PUO' essere liberamente usato per scopi personali (studio, creazione di relazioni e tesine etc). Non e' consentito qualsiasi altro tipo di utilizzo o riproduzione. - The entire content of this site may be freely used ONLY for personal purposes (study, creation of reports etc.). It is not allowed any other use or reproduction.